











































































































































金元(香港)影業公司
舊城故事
導演:徐玉龍
第一場
景:海上
時:晨
人:老爹、春、根、生、牛、福、衆漁民。
金紅色的太陽從海平面上升起。(主題音樂聲起)
十餘艘小漁船,在銀光閃礫的海面上散浮着。(片頭字幕)
船頭衝破浪濤,激起水花四濺。
身體健壯的漁民撒下巨網。
長串的巨網,隨着船身前行而拖延着,漸漸圍成一道弧形網牆。
站在船首瞭望架上的小伙子,頻頻向鄰船彼此高聲呼應着。駕駛艙內,手握着舵盤的老爹,隨着小伙子的手勢轉動輪盤。
兩名漁民開始轉動收網絞盤。
牽連漁網的粗繩在滑輪上滑動。
數名漁民合力將網拉起。
巨網離水,網中滿是活蹦亂跳的魚群。
魚群倒入船艙。
衆人臉上洋溢着典奮之情。
駕駛艙内的老爹摇響着掛在窗前的銅鐘。
鄰船也紛紛響起鐘聲,霎時彼起彼落。(字幕完)
第二場
景:沙灘
時:日
人:小狗子
海浪衝上沙灘,漫過一雙小孩的光脚背之後,又迅速退冋海中,但却留下無數白濁泡沫,和一顆色澤鮮明的小殼。
小狗子彎涙拾起貝殼,細看一陣,隨卽將身奔離。
小狗子奔跑遠去,漫長的沙灘,留下一行清晰的脚印。
第三場
景:周家外貌連村中街道
時:日
人:小狗子、周母、江村長、鄰婦甲、乙、丙其他衆鄰、路人
小狗子光着脚丫,在村中街道上奔跑着。
周家大門外圍着眾多鄰婦,大家正在向滿春風的周母道賀。
衆婦:大嬸!恭喜,恭喜!妳們家老大要囘來啦。
周母:謝謝,謝謝⋯⋯⋯⋯
小狗子奔來,突然住脚,並閃身躱在一側窺視。
衆婦七嘴八舌地圍着周母。
婦甲:周大嬸,您真是好福氣,老二又勤快又老實,老大更不得了,現在連大學都已經畢業啦。
周母:那裏,那裏,這還不都是靠祖先的保佑。
鄰乙:説真的,將來真不知道,誰家姑娘有前世修來的福,才能當你們家媳婦。
鄰丙:噯,這妳就別操心了,咱們村子裏誰不知道,李家鳳姑娘和大嬸家老大,是天生的一對啊,哈哈⋯⋯⋯⋯
衆婦:對對⋯⋯⋯哈哈⋯⋯⋯
躱在牆角的小狗子,神色有點不以為然的樣子,當其方欲轉身離去之際,突然被人叫住。
O.S.村長:小狗子!
江村長正向小狗子走來。
狗子:啊!爺爺⋯⋯⋯
村長:小狗子!見到你爹沒有?
狗子:沒⋯⋯⋯沒有哇!
村長:哼!又不知道躲到那兒去賭去了。
周母與衆婦發現村長,立卽上前招呼。
衆婦:村長!
周母:村長!快請屋裏坐。
村長:不客氣了,我是順路過來看看,哦,周大嬸,聽説順發快囘來啦?
周母:可不是嘛,前兩天我才叫他弟弟去城裏接他呢:説是令天就能到家了。
村長:哦!那真是恭喜您啦。
周母:那裏!謝謝,謝謝⋯⋯⋯⋯
一旁的小狗子乘機溜走。
第四場
景:李家外貌
時:日
人:狗、鳳姑、妞、梅、秋、喜、夏、衆村姑
小狗子從掛曬的漁網下鑽過,向李家直奔而來。
當他奔至李家大門外時,頓時住脚楞視。
鳳姑正被一羣打扮得花枝招展的村姑們,前呼後擁地從屋内推出。
梅:快點,快點,我的大小姐!
鳳:好嘛,好嘛,人家頭還沒梳好呢?催什麼!?
喜:哎喲,妳已經打扮了一個上午,還嫌不好哇?
夏:咦,這叫女為悅己者容啊。
鳳:妳⋯⋯⋯
秋:好了,好了,鳳姑!再不走,周家老大可就快到村子啦。
鳳:哼!到了就到了,管我什麽事?
妞:嘿!這可是妳説的,到時候,可別怪我們把妳心上人搶走嘍!
衆:(笑)哈哈⋯⋯⋯
鳳:(羞急)死火妞!妳⋯⋯(正欲追打,却發現小狗子)咦!小狗子!
小狗子滿懷心事地望着鳳姑。
鳳姑感到訝異,急忙走至小狗子身前關心垂詢。
鳳:怎麽啦?小狗子!
狗:(將懐中貝殼取岀)鳳姑姑,妳看我撿的這個貝殻好不好看?
鳳:嗯!好看,好看極了!
狗:要是妳不去接順發叔叔,我就送給妳。
鳳:(一怔)這⋯⋯⋯
衆村姑已等得不耐頫。
梅:好啦,好啦,小狗子,今天妳鳳姑姑有事,改天再來找她玩,乖!
小狗子不語,兩眼依然期待地望着鳳姑。
鳳姑正疑惑不解地楞視着小狗子,身旁的衆村姑已將她推離家門而去。
妞:走,我們快走吧!
李家門前只剩下小狗子,孤獨的望着已去衆人背影,突然憤而將手中貝殼摔落地上。
狗:鳳姑姑是傻瓜——(轉身奔離)。
第五場
景:海上
時:日
人:老爹、春、根、生、牛、福、衆漁民
船首破浪而進。
老爹將掌號工作交給得根,取出旱煙點燃後走出駕駛艙。
阿福迎面走來。
福:我説老爹啊,準女婿馬上就要囘來了,您也該休閒休閒,享享清福啦。
爹:(裝糊塗)啊,誰呀,你説誰囘來啦?
甲板上的<人哄然大笑。
春:嘿嘿,你瞧,老爹裝得還真像啊,哈哈⋯⋯⋯
生:對了,老爹!什麽時候,請我們喝喜酒啊?
爹:(裝糊塗)咦?我説過要喝酒嗎?
牛:哈哈⋯⋯又來了,我説這老爹,硬是刀槍不入吧。
衆人又是一陣哄笑。
駕駛艙内的得根,也從内伸出頭來打趣着。
根:老爹,今年龍王賽,誰要是搶了個頭彩,您的話還算不算數啊?
福:得啦,就憑你能搶得了龍王賽頭彩啊?別説是順發了,連跟我比,你還差一大截呢。
根:去你的!
衆人大笑。
爹:算數,我的話當然算數,誰要搶得了頭彩,我啊⋯⋯⋯
衆:(齊聲)怎麽樣?
爹:我就睜個眼閉個眼,讓他去問問丫頭的意思。
衆人聞言洩氣地唉聲嘆氣。
根:啊!還要問鳳丫頭⋯⋯⋯唉唷⋯⋯⋯
春:唉!薑還是老的辣,我説得根!死心了吧!還是回去對王小寡婦多下點勁。
根:去你的!
衆人再度哄然大笑。
第六塲
景:河谷
時:日
人:順發、順財、船佚、木頭、梅子、旅客數名
兩岸山壁陡峭的河谷中,一艘擺渡正緩緩向對岸划行。
船伕輕摇着船橹,坐在船首的順發,歸心似箭地遥望着對岸青山,臉上洋溢出興奮之情,弟弟順財則小心翼翼地抱着行裹,蹲在其身後。
發:(感嘆地)唉!過得真快,又是一整年了。
財:大哥,龍王賽又快到了,老爹和大家天天都在盼望你早點囘來呢?
發:那當然,我是他們的主將嘛,哦,對了,鳳丫頭還好吧?
財:(神色微怔)還不是老樣子。
發:(一笑)嘿嘿⋯⋯提起這丫頭我心裏就害怕,你還記不記得,我第一年從學校囘來,就被她們在半途上潑得一身濕,第二年又挖了陷阱,害我掉進爛泥坑裏,去年啊,嘿,真不知道,她們又從那兒弄來一群山豬,追得我滿山亂跑。
財:我想今年大概不會了,鳳姑也長大了嘛。
發:噯!難説得很,你愈想不到的事,這丫頭愈能做得出來,尤其今年我又畢了業,嘿嘿⋯⋯我看八成她會把我活埋了。
財:那⋯⋯那怎麽辦呢?(緊張地抬頭向對岸山頭張望)。
山頭上的梅子探頭望見河谷中的小船,不由得意轉身消失在樹石後。
小船靠岸,兄弟二人踏上岸邊,正巧遇見賣針線花粉的小販木頭,於是彼此客氣地招呼着。
木頭:噢!順發哥,您可囘來啦。
順發:木頭,好久不見,生意好嗎?
木頭:托福,托福,馬馬虎虎啦,嘿嘿⋯⋯哦,不躭誤你囘家,改天見。
順發:好,改天還要跟你買點胭脂花粉呢。
木頭:嘿嘿,你不説我也知道,準又是送給鳳姑娘的是吧,哈哈…⋯⋯(轉身向渡船走去)。
第七場
景:林蔭山道
時:日
人:財、發、夏、秋、妞、衆村姑
兄弟二人戰戰競競地走在林蔭山道上。
財:大哥!我看咱們還是多繞點路,走山脚下吧。
發:是福不是禍,是禍躱不過,反正已經來了,就看看她們又想出什麼鬼點子。
二人繼續惶惶前行,却發現前面路舖滿了五彩繽紛的花瓣,不由怔然住脚。
二人方感訝異,突然聽見路旁林中傳來一聲輕笑,遂立卽轉頭望去。
赫然發現大妞站在路中,似笑非笑地望着二人。
二人本能地向四週尋視一番,却不見其他芳踪。
發:(嚥口水)就⋯⋯就妳一個⋯⋯⋯
大妞不由掩嘴一笑,並提着根雞毛揮子奔上前來。撣妞:怎麼,嫌少啦?
發嚇得急忙用手抱頭,豈知大妞只是幫他把全身上下的灰塵撣了個乾淨,發見狀楞住。
妞撣完又笑看向一旁的財望去,財心驚肉跳地退後一步。
妞:你啊!免了吧!(掉頭奔去)
發:大妞!這⋯⋯這是怎麼囘事?
財:大哥!我看一定有陰謀。
二人四目對視,不得其解。
突然兩旁林中又笑着衝出夏、秋及一群村姑,將發圍住。
發嚇得臉色大變,雙手已被衆女拉住不能動彈。
數名村姑不由分説的,將一串串花環分別套在發的脖子上。
發:這幹什麽,妳⋯⋯妳們這是幹什麼?⋯⋯⋯
其中一名村姑,將整瓶的香料全倒在發的身上。
發:哎呀!香死了⋯⋯我的天,妳把整瓶香粉全倒在我身上了⋯⋯
夏領頭,眾女拉着順發往林中行去。
發:哎哎⋯妳們倒底想幹什麼,先説給我聽,哎⋯這樣拉拉扯扯多不好⋯⋯哎⋯順財!順財⋯⋯
順財在一旁急得不知所措。
財:大哥!大哥⋯⋯妳們⋯⋯
秋:(兇巴巴囘頭瞪視財)急什麼,我們又不會吃了他。
財:(呆住)啊⋯⋯
第八場
景:林中空地
時:日
人:發、財、鳳、梅、喜、妞、夏、秋、衆村姑
發被衆女硬拉着、推着帶入林中。
發:哎哎⋯⋯我怕妳們了好不好,倒底要把我帶到那兒去嘛⋯⋯
林中空地上,早已圍着另一堆村姑們,她們緊緊地靠在一起,似乎有意不讓別人看到圈內所圍的是什麼東西。
梅:來了!來了!
O.S妞:快抓住她,抓住她。
O.S喜:我抓不住嘛,哎唷!她打我呀!
發已被帶到圈外。
發:這⋯⋯妳們這是⋯⋯⋯
O.S妞:(呼痛)哎唷——妳⋯妳怎麼咬我呀!
衆女頓時哄然大笑。
梅:好了,人到了,把她放開吧。
發疑惑地望向圍着的人圈。
人圈散開,露出羞答答的鳳姑。
發眼光頓時一亮,不由喜形於色。
發:鳳姑!
衆:(故意發出怪聲)啊⋯⋯⋯
鳳姑不由一窒,滿面通紅。
梅:情郎一聲叫,小妹心肝跳⋯⋯(被鳳姑狠踩一脚)哎唷——
鳳姑乘機轉身欲逃,但却遭大夥攔住。
喜:咦!想跑,那這麼容易啊。
梅:對,可不能讓她跑了。
妞:鳳姑!往年整他(指發)我們都是聽妳,今天可也得聽聽我們的了吧。(向衆女)大夥説,對不對!
衆女熱烈響應。
衆:對對!我們要看!我們一定要看!
發不知衆所論何事,不由好奇。
發:看!看什麼啊?
衆大笑,鳳焦急頓足,裝出一付兇巴巴的神色,向發衝去。
鳳:看我修理你!
發大吃一驚,急忙底頭欲躱,不料鳳奔來竞迅速地在發臉上吻了一下,然後轉身逃離,衆女立卽爆起笑聲。
發撫着臉,呆楞得不知所措。
鳳穿出人群,正巧撞在順財懐中。
財:鳳姑!
鳳:(欲言又止)討厭!(迅速奔離)。
財望着鳳姑奔去的方向,臉上露岀茫然之色。
第九場
景:周家廳院
時:日
人:發財、周母
院門被推開,發從外奔入。
發:娘!娘⋯
周母聞聲從大廳走出。
母:(驚喜)順發,你可囘來了!
母子相擁,喜極而泣,周母突然嗅到發身上香氣,不由皺眉。
母:咦!順發,你這身香味⋯⋯⋯
發:(驚覺跳開)娘!這⋯⋯⋯
母:你啊!就會拈花惹草。
發:我⋯⋯⋯(欲辯無詞)。
母:還不快去換下來(拉着發就往廳内走)。
財提着行裏走入院門,見狀苦笑着隨後跟去。
第十場
景:周家大廳
時:夜
人:發、財、周母
桌上擺滿了飯菜,周母不斷地為順發碗裏挾菜。
母:來,多吃點。
發:行了,娘!我都快撑得動不了啦。
母:胡説,吃那麽一點,就飽啦?
發:娘!妳怎麼忘啦?一囘來又是小米粥,又是雞湯混呑,我肚那兒裝得下嘛!
母:好好⋯⋯我説不過你。
發:喔,我要出去一會兒。
母:(訝異地)出去!?
發:我跟人家約好的。
母:誰呀!?
發沒囘答,却向财望去。
財發現母親眼光正轉來,急忙心慌低頭吃飯。
周母望着兄弟二人神秘表情,心中已了然。
母:順發啊!不是我反對你交朋友,你是個讀書人,總得,總得找個門當互對的嘛。
發:娘!現在是什麼時代了,還講究這套。
母:唉!真是的,你也不為娘想想,娘就是不喜歡那丫頭,野裏野氣的。
發:(堅決地)可是我喜歡!
財驚然望向周母。
周母瞼上現出漠落之色,沉默一陣後遂幽然而語。
母:唉!隨你吧,反正你也長大了⋯⋯⋯
發自覺過份刺傷母親,遂溫和地走近母親。
發:娘!我去去就囘,待會兒再陪您聊天。(轉身走出)
母:這孩子,我真不知道,那丫頭到底那點迷上他了。
財怯生生地望看母観。
財:(低聲)娘!鳳姑不錯的。
周母立卽將怒出在財身上。
母:什麼不錯!不要以為她每天給你送飯,就認為不錯,哼!説穿了,還不是想嫁給咱們家順發。
財欲言又止,默默端起飯碗。
第十一場
景:李家大廳
時:夜
人:老爹、鳳姑
鳳收拾桌上殘餘的碗盤,突然發現碗邊放着一顆貝設,遂急忙取起細看,原來正是日前小狗子帶來的那顆。
鳳:爹!
坐在躺椅上吸着旱煙的老爹,聞聲懶洋洋地轉頭望向鳳姑。
爹:嗯!什麼事啊,丫頭!
鳳:(指貝設)你這是從那兒來的?
爹:哦!是我在門口撿的,怎麼!不是妳丢的?
鳳姑沒囘答,却楞楞望着手上貝殼出神。
老爹感到奇怪地打量鳳姑。
爹:丫頭!丫頭!
鳳:(猛然驚覺)啊!
爹:妳在想什麼?
鳳:(掩飾地)沒⋯⋯⋯沒什麼?
爹笑着起身走近鳳姑。
爹:嘿嘿⋯⋯妳呀!那點鬼心思還想瞞得了我?
鳳:什麽嘛!你又扯到那兒去了?
爹:快説實話,妳今天接到順發了沒有?
鳳:(嘟氣)沒有!
爹:沒有!?這就怪了。
鳳:人家接到順財哥了嘛。
爹:嘿嘿!好啊!臭丫頭説反話,快吿訴爹,那小子怎麼説?
鳳:誰呀?你説順財哥啊?
爹:得了,得了,爹的這點本事,妳全學會了。
爹生着悶氣,鳳在一旁偷笑,突然(OS)外傳來歌聲,鳳頓然驚望窗,爹却反倒不由笑了。
第十二場
景:山林夜色
時:夜
人:
歌聲響徹雲霄,月亮高掛樹梢。
情意綿綿的歌聲,旋繞在山林空谷之間,令人陶醉遐思。
第十三場
景:李家大廳
時:夜
人:老爹、鳳姑
鳳姑依立門前,傾聽歌聲,老爹悄悄走至其身後。
爹:(打趣地)這是誰啊?深更半夜,難貓子亂喊叫的。
鳳:(羞惱)我⋯⋯我去把這隻難貓子趕走。
爹:(故意捉狹)對,是一定要去的!(突然做了個鬼瞼)
鳳:(跺脚)討厭!(轉身急奔而出)
爹:(得意大笑)哈哈⋯⋯⋯⋯
第十四場
景:高崗上
時:夜
人:順發、鳳姑
月亮灑在波光緯X的海上,站在高崗山引頸高歌的順發,唱出無限情意。
鳳姑岀現在其身後,靜靜聽着。
順發將滿腔情意,化為歌聲,不斷向大海傾訴着。
鳳姑瞼上已有感動之容。
順發直到一曲唱完,才發現到身後的鳳姑,不由驚喜奔近。
發:鳳姑!
鳳姑從陶醉中驚然囘復意識,立卽羞惱地頓足嚷着。
鳳:你是想嚷得全村的人都出來看是不是!?
發拉住鳳的手。
發:鳳姑!我這是唱給妳聽的。
鳳:(甩開手)哼!肉麻兮兮的,難聽死了。
發:真有那麽難聽嗎?
鳳:本來就是嘛,吵死人了。
發:可是,妳總該聽得出我歌裏表達的意思嘍。
鳳:我又沒聽清楚,誰知道你唱什麽?
發:咦!那妳怎麼知道肉麻兮兮的?
鳳:(語塞)啊?我⋯⋯⋯
發:哈哈,好會裝蒜的丫頭。
鳳:你⋯⋯討厭,討厭⋯⋯⋯(不斷搥打着順發)
發挺身不動笑着讓鳳搥打一陣後,突然一把將其拉住。
發:鳳姑!嫁給我!
鳳聞言一怔,楞楞呆視着發。
發用熱情的目光,牢牢注視着鳳。
二人四目漸漸接近,突然鳳感到一陣顫抖,急忙推開發,並向後連退數步。
鳳:羞笑地)討厭!不理你了!(轉身快奔離去)
發焦急欲追。
發:鳳姑!鳳姑!妳跑不掉的!(見人已奔遠遂不由自言自語地苦笑着)妳跑不掉的⋯⋯⋯⋯
第十五場
景:田間
時:日
人:財、狗
財擧着鋤頭,不斷猛鋤着土地,臉上却現出漠落痛苦的表情。
坐在田埂上的小狗子,雙手托腮目不轉睛地凝視着財,彷彿也是心事重重。
財突然放下鋤頭,抬首凝視注遠方,神色頃刻數變。
小狗子抬頭靜觀其變。
財漸漸收囘視線,而轉移到小狗瞼上時,才驚然警覺。
財:咦!小狗子!你來了多久?
狗:早就來了。
財:哦!?真抱歉,我沒注意到。
狗:順財叔叔!
財:啊!
狗:為什麼你還不快去追鳳姑姑?
財:(一怔)這⋯⋯⋯(尷尬苦笑)嘿嘿⋯⋯小孩子懂什麽。
狗:哼!我才不小了呢,我覺得你好傻,鳳姑姑也很傻,(起身踏着田埂離去)。
財望着遠去的小狗子,不由自言自語着。財:(心聲)我,我真是很傻嗎?
第十六場
景:小村道
時:日
人:鳳姑、大妞
鳳提着食籃,拉着妞在村道上快行,妞緊張兮兮的。
妞:鳳姑!我心跳得都快走不動了,咱們還是囘去吧?
鳳:那怎麼行,説好了今天要替妳和順財哥作媒的。
妞:唉唷!快別説了,我兩條腿都發軟了。
鳳:這可是妳自己同意的,現在想反悔也來不及了。
妞:哎哎……好鳳姑,美鳳姑,妳就饒了大妞我這一遭吧。
鳳:瞧妳的,真沒出息,其實啊他比妳胆子還小,説不定咱們去了,他早就溜了。
妞:真的!?
鳳:騙妳幹什麽,我們從小一塊長大,我還不清楚啊?
妞:那⋯⋯那就沒關係了。
鳳:不過,大妞!咱們得先説清楚。
妞:好,妳説!妳説!
鳳:順財哥是老實人,妳可不能欺負他啊?
妞:不會的,決不會!
鳳:(傷感地)唉!他心地善良,溫厚、篤實,有時候我覺得連順發都比不上他⋯⋯不由一怔)。
妞:咦!妳快繼續往下説啊⋯⋯(發覺失言忙用手捂嘴)。
鳳:(笑)瞧妳真不害臊的。
妞:(尷尬羞笑)嘿嘿⋯⋯⋯⋯。
第十七場
景:田間
時:日
人:財、鳳、妞
財正獨自抱頭苦悶地坐在田埂邊,突然被一聲尖叫驚起。
OS妞:哎唷!我的媽呀!
妞鳳已出現在不遠的田埂小徑上。
妞:妳瞧!他在那兒嘛,妳還説他會溜⋯⋯⋯
財急忙迎上前去。
財:鳳姑!給我送飯來啦?
鳳姑迷惘凝視着財。
財故作輕鬆,想打破雙方的沉悶。
財:哦⋯⋯讓我猜猜,嗯!一條煎魚,炒白葉心,還有⋯⋯我最喜歡吃的炒豆芽,是不是!
大妞打開籃蓋,果然正是這三樣,不由傻傻地望着二人。
財眼根本未曾看着食籃內的菜飯,仍然忘情地注視着鳳。
財:謝謝妳,鳳姑?
鳳望着財,却不由自主地流露出熱情的目光,但瞬卽却驚然掉頭奔去。
妞:(焦急)鳳姑!妳不能把我一人丢往這兒,⋯⋯(緊追而去)鳳姑⋯⋯⋯
財悽然望着遠去的鳳姑。
財:(輕聲地)鳳姑⋯⋯⋯
第十八場
景:高崗上
時:日
人:鳳、發、財
鳳抱膝坐在高崗上,凝視着手中貝殼,内心徬徨至極,不知情歸何處。
她情不自禁,將心聲化為歌曲,幽幽唱出。
松針落葉,月光海水,錯雜交叠在鳳姑臉上,迷惘又徬徨地來囘蹀踱着。•
當曲至終了時,她發現順財正含笑向她漸漸走近。
她期待着,渴望着,臉上洋溢出熱熾的情意,突然——
O.S發:妳怎麼啦?
鳳仔細一看,幻影消失。站在面前的竟是順發。
她滿面的希望,頓時轉成失望。
鳳:(自語)我⋯⋯我怎麼啦?
發疑惑地望着鳳。
發:妳在想什麼?
鳳神情恍惚地沉思着。
發:鳳姑!
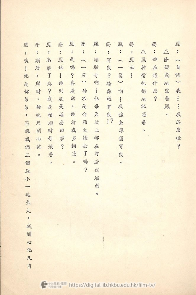
鳳:(一驚)啊!我該去準備宵夜。
發:宵夜?給誰送宵夜!?
鳳:順財哥啊!他每天晚上都在河邊捕蝦的。
發:(一笑)妳不是介紹大妞去了嗎?
鳳:是嗎?真是的,你看我多糊塗。
發:鳳姑!你到底是怎麼回事?
鳳:怎麼了嘛?我是怕順財哥餓着。
發:順財,順財,妳就只關心他。
鳳:咦!他是你弟弟,再説我們三個從小一塊長大,我關心他又有什麼不對?(一付嬌蠻之態)
發:(語塞)這⋯⋯好,好,好,妳對,妳對!
鳳:(破顏一笑)哼!小心眼!(轉身奔離)
發:(焦急追去)鳳姑!鳳姑⋯⋯⋯
第十九場
景:江家大廳
時:日
人:村長、老爹、財、狗、根、春、生、牛、福、木頭、衆村民
財和根扶着受傷的木頭,從門外急奔而入,身後還跟着大批村民。
財:村長!村長⋯⋯⋯
村長和老爹正在廳中下棋,聞聲立卽起身出視。
村:什麽事,什麼事?
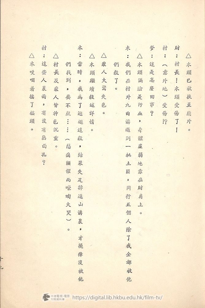
木頭已被扶至廳外/
財:村長!木頭受傷了!
村:(意外地)受傷!?
爹:這是怎麼囘事?
木頭滿臉是污血,身體虛弱地靠在財肩上。
木:我們在村外九曲溝遇到一批土匪,同行五個人除了我全都被他們殺了。
衆人大驚失色。
木頭繼續敍述詳情。
木:當時,我為了逃避追殺,結果失足掉進山溝裏,才徺𢔛沒被他們找到,要不然⋯⋯(悲痛顫懼而嚎啕大哭)。
村長及衆人皆神色沉重。
村:這些人裏面,有沒有熟面孔?
木哽咽着揺了揺頭。
木:(顫懼地)可是,那個土匪頭子,我這輩子都不會忘得了,他那一雙眼神,又冷,又狠,他⋯⋯他簡直就像個兇神惡鬼!
衆人紛紛小聲議論。
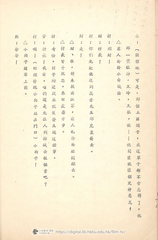
村:順財!
財:村長!
村:你們先把他送到萬老先生那兒裏傷去。
財:是!
財、根,將木扶出江家,衆人也紛紛跟隨離去。
村長背手沉思,來囘度着方步。
村:奇怪,村子附近從來就沒發生過這種事。
爹:村長!我看,咱們還是先派人到縣城去報個案吧?
村:嗯!(囘頭發現小狗子站在門口)小狗子!
小狗子聞聲上前。
狗:爺爺!
村:快去把你爹找囘來!
狗:是!(似有難言之苦,但又不敢不從,遂轉身離去)。
第廿場
景:小茶舘
時:日
人:貴全、孫六、狗、老闆、賭客甲、乙、丙及其他賭衆
三顆骰子擲入碗中,滾動靜止後成了一、二、三點,領時四週響起一片笑鬧聲。
甲:又是一、二、三,通賠!哈哈⋯⋯⋯
江貴全臉色頹喪。
江:媽的!倒了一晚上邪霉了,再欠一把!再欠一把!
衆人不允,立起叫嚷。
乙:不成,不成,你已經欠了兩把了。
丙:對了,沒錢還做什麼莊嘛?
江惱羞成怒。
江:怕什麼!?我江貴全賴過誰的?
坐在一角,帽壓得低低的孫六,聞言猛然一怔。
賭徒繼續與江爭執着。
乙:話不能這麼説,賭錢賭現,這是老規矩啊!
江:(大怒摔碗)哼!什麼規矩不規矩,我又不是今天才來賭的。
丙:咦!幹什麼!?你以為你是村長的兒子,就想耍狠啦?
甲:(勸和)哎哎⋯⋯妤了,好了⋯⋯
坐在一角喝茶的孫六,略將頭抬起,暗自向江打量。
O.S甲:大夥都是老朋友了,何必反臉呢⋯⋯
甲將江拉至一旁,店老闆也聞聲趕來。
甲:我説貴全啊!勝敗是兵家常事,輸了改天再來就是了嘛。
江:媽的!我真嚥不下這口氣。(向老闆)張老闆!再借我兩個。
闆:(尷尬地)江少爺!不是我不借!實在你借得太多了,都還沒還呢。
江:你⋯⋯
小狗子已站在店門口,又怯又怨地望着江。
江神情一怔。
江:咦!小狗子!你跑到這兒來幹什麼?
小狗子期期艾艾地説明因由。
狗:爹!爺爺叫你囘去。
江不耐煩地向狗揮手。
江:知道了,知道了,你先囘去!
狗仍站莊門口未走。
江大怒。
江:咦!叫你先囘去啊!
狗仍未打算離去。
狗:爺爺要我跟你一道囘去嘛⋯⋯⋯
江大聲喝斥。
江:你!你想挨揍啊!?囘去———
狗不甘願的轉身走岀店門。
狗:(自言自語)囘去就囘去,那麼兇⋯⋯⋯
O.S江:等等!
江快步走至狗身旁。
江:(小聲地)你要敢跟爺爺説我在這兒⋯⋯看我揍不揍你。
狗:(嘟氣忍涙)知道啦!(轉身奔離)。
張老闆走至江身後,感嘆地望向離去的小狗子。
闆:唉!這孩子從小說死了娘,也真夠可燐的。
江:(愧疚無言地望着門外)⋯⋯⋯
第廿一場
景:村中街道
時:夜
人:江、孫
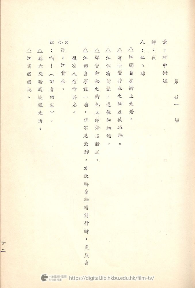
江獨自在街上走着。
有一雙神秘之脚在後跟踪。
江似有驚覺,遂住脚細聽。
那雙神秘之脚也立卽停在暗處。
江囘身察視一番,但不見動靜,方欲轉身繼續前行時,突然身後有人直呼其名。
O.S孫:江貴全。
江:啊!(囘身囘望)。
孫六從暗處緩緩走出。
江驚然楞視。
江:誰!誰!你是誰!
孫走至燈光處停身,將低壓的帽簷緩緩推上,露出臉上明顯的刀疤。
孫:還記得我嗎?
江看清來人,頓時大驚失色。
江:啊!刀疤孫六!
孫得意冷笑着逼近江。
孫:嘿嘿⋯⋯不錯,畢竞沒把老朋友給忘了。
江:你⋯⋯你來幹什麼?
孫:怎麼?不歡迎是嗎?
江:不不⋯⋯我只是感⋯感到意外⋯孫六!我已經洗手不幹了⋯
孫:(冷笑)嘿嘿⋯貴全啊!胡老大可是還惦記着你這位當年的老兄弟啊。
江:(驚懼)什麼!?胡老大也來了!(下意識地東張西望)。
孫:那倒沒有,不過,他隨時會來,而且一定會來。(冷笑)嘿嘿⋯⋯⋯
江:啊⋯⋯⋯(失魂落魄地呆望着孫六)。
第廿二場
景:山道溪邊
時:日
人:胡三寶、孫六、胡七、江、匪徒數名
胡三寳趴在溪邊牛飲一番後站起,從身旁胡七手中接過毛巾,在臉上亂擦一陣,並走至孫六身前。
胡:這小子到底會不會來?
孫:老大!你想他敢不來嗎?
胡:哼!諒他也沒這個種⋯⋯(突然聽到陣陣鼾聲,遂轉身向身旁地上望去)咦!
地上早已七横八豎地躺着敷名匪徒,狀似十分疫胭。鼾聲正是從胖子大炮嘴裏發出的。
胡一見狀就來火。立卽衝上前向大炮等亂踢一通。
胡:媽的!你們才走了多少路,全他奶奶的累趴下啦,還不都快給我滾起來。
衆匪徒不敢吭氣,立卽紛紛從地上跳起。
胡餘怒未消地將手上毛巾扔落地上。
胡:哼!越想越窩囊,都是那批王八旦偵緝隊,追得咱們跟兎子似的。
孫:(上前勸説)老大!大丈夫能伸能屈,只要咱們在漁村裏躱一段時間,等這陣子風頭過了再出來不就結了?
胡:你能擔保他們準不會找到這兒來?
孫:放心!偵緝隊絶料不到咱們居然還有膽子往囘走。何況姓江的老子是村長,咱們能控制村長,不就等於控制全村,那還怕會走露半點風聲嗎?
胡:(略一思考)好!這事你負責,當心,可別給我出差錯。
孫:嘿嘿,老大!萬一真要出了差錯,咱們只要往船上一跑,不就天下太平?
胡:(悟然而笑)嗯!嘿嘿⋯⋯⋯
O.S匪徒:老大
一名匪徒急速奔來禀報,另兩名匪徒則押着貴全隨後而至。
匪:老大!姓江的到了。
胡突然目光變得冷酷兇殘,向江逼視而來。
江頓時面色蒼白,全身抖顫不已。
胡不發一言,兩眼依然冷冷瞪視着江。
江不敢與對方目光接觸,而緩緩垂下頭去。
胡突然發出一陣狂笑,大步逼近江,並擧手拍了拍江的肩膀。
胡:(狂笑)哈哈⋯⋯好!好兄弟!你終於又囘到老哥哥身邊了啊,,哈哈⋯⋯
江:老大!我⋯⋯(欲言又止)。
胡:(略感不悦)嗯!?
孫立卽上前,並用眼色向江暗示。
孫:嘿嘿⋯老大!昨兒夜裏我已經把您的意思轉達給江老弟了,他呀,馬上就一口答應下來,嘿嘿⋯(用眼色示意江)江老弟!你説是不是?
江:(不得已)啊!是⋯是是⋯⋯
胡:(猛拍江肩膀)妤!這才叫做夠意思(大笑)哈哈⋯⋯
江一臉欲哭無涙地陪笑苦笑。
第廿三場
景:山崗及山道
時:日
人:鳳、發、江、胡、孫、炮、七、匪衆數名
高崗上一片蒼松翠綠,四週遠山圍繞,白雲悠悠。
鳳姑正雙手托腮,心事重重地坐在巨石頂上凝神沉思。
突然頭頂一片落葉緩緩飄入眼前。打斷鳳姑思緒,她順手拾起落葉,頓時有感而發地起身唱岀心中的紛亂及茫然。(插曲)
歌聲在山林之間迴蕩着。
山下溪邊洗衣的村姑們停下了工作,起身傾聽歌聲。
田中耕作的農人,也放下了鋤頭,抬首欣賞着。
崗下彎道上趕路的胡、江等人,也停住了脚步。
胡彷彿已入迷似地凝視着山崗,身旁的孫六方欲開口,却被胡摇手制止。
孫:老大⋯⋯
胡:(示意噤聲)噓⋯⋯⋯
山崗上的鳳姑:並不知衆人皆已沉醉在其美妙的歌聲之中,仍繼續忘情高歌着。
在她背後的小路上,又出現了順發,他初時充滿了喜悦之情,但當聽清楚歌詞中含意後,不由蹙起眉頭,因為他蹙覺到鳳姑似乎心目中還愛着另一個人,這怎不敎其深感迷惑。
鳳姑一曲唱完,心緒尚未平靜,神情依然如痴如夢地凝視着天邊。
順發稍作猶豫,遂輕聲呼喚鳳姑。
鳳姑恍似未覺。
發乃再度呼之。
鳳姑猛然驚覺,立卽轉身囘視,見是順發,神情一怔。
鳳:(略顯尷尬)咦!順發哥!
發關懷地走近鳳姑。
發:妳在想什麽?
鳳:(掩飾地)沒⋯沒想什麼呀!
發:不!我看得岀來,妳一定有什麼心事瞞着我。
鳳:(嬌急)哎呀!你這人怎麼這麼婆婆媽媽的嘛!?
發:鳳姑!難道妳還不了解我心裏 ⋯⋯
鳳:誰説我不了解!?
發:(驚喜)真的!?
鳳:(悄皮地)還煮的呢!哼!其實呀,你心裏想的還不是城裏那家的千金大小姐呢。
發:妳⋯⋯
鳳:你看,承認了吧?(得意笑着轉身奔離)。
發:這鬼丫頭!(追出)。
山道上的胡:望着山崗上嘻笑追逐的二人,臉上現出濃厚的妒意,身旁的江則羨慕地輕聲讚嘆着。
江:他們真是天生的一對⋯⋯
胡:他是誰?
江:鳳姑!
胡:我説的是那個男的。
江:哦!他叫周順發。
胡:周—順—發(發出陰森狠毒的冷笑)。
江見狀不由感到心驚膽寒。
第廿四場
景:李家外貌
時:黃昏
人:爹、鳳、發、胡、江、孫、七、炮、匪衆數名
鳳姑直往家門奔去,發在後急追。
發:鳳姑!鳳姑!妳等我嘛⋯⋯⋯
鳳衝入家門差點與爹撞個滿懷,爹不由神情似笑非笑地打量着二人。
鳳:(不依)爹—看什麼嘛!
爹:人家是丈母娘看女婿,我這是⋯⋯⋯
鳳:哎呀!爹——(不好意思推老爹)把老爹哈哈大笑)
鳳見發在一旁傻笑,不由羞急跺脚。
鳳:笑什麼?賊眉賊眼的最討厭了。
發:(寃枉)鳳姑我⋯⋯老爹⋯你説她講不講理!
爹:(故意)你叫我什麽?
發:老爹!我是説⋯⋯⋯
爹:(裝聾)誰呀?叫什麼?
發:(一怔恍然)我⋯⋯(看鳳)
爹:(對鳳)我是不是聽錯了!有人叫我什麼『泰山』來着!
鳳大懆,狠狠捶了老爹一下。
鳳:爹最討厭了!
鳳掩瞼奔去,爹大樂。
發:鳳姑!
老爹故意咳了兩聲阻止發追去,發不安焦懆的。
爹:小伙子!咱們爺倆該談點什麼了是吧?
發:(一怔)是!是!老爹!
爹:噯,慢點,慢點,我看咱們還是先從稱呼上談起,你説是不是?
發:(尷尬)這⋯⋯我⋯⋯
爹:(大笑)哈哈⋯⋯
鳳躱在街角望着這一對老少談着她的事,不由羞紅瞼的咬着衣角,突然被身後一聲乾咳嚇了一跳,急忙囘身而視。
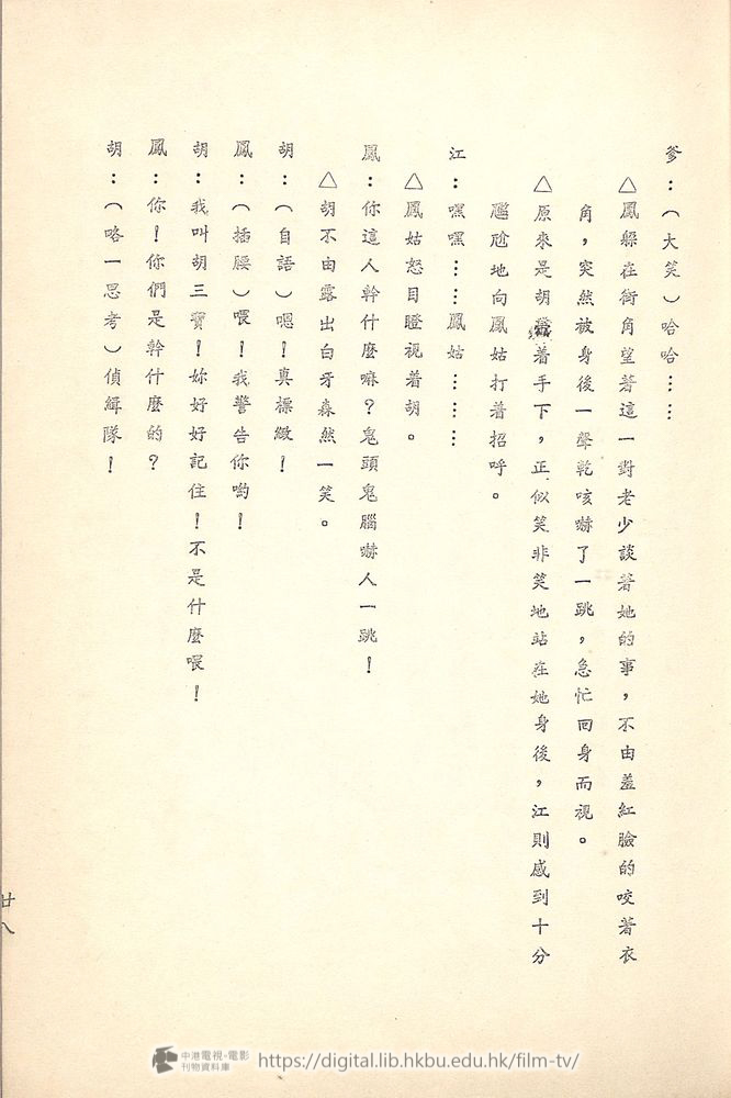
原來是胡帶着手下,正似笑非笑地站在她身後,江則感到十分尷尬地向鳳姑打着招呼。
江:嘿嘿⋯⋯鳳姑⋯⋯⋯
鳳姑怒目瞪視着胡。
鳳:你這人幹什麼嘛?鬼頭鬼腦嚇人一跳!
胡不由露出白牙森然一笑。
胡:(自語)嗯!真標緻!
鳳:(插腰)喂!我警告你喲!
胡:我叫胡三寶!妳好好記住!不是什麽喂!
鳳:你!你們是幹什麼的?
胡:(略一思考)偵緝隊!
鳳:什麼真七隊,真八隊的,難聽死了!我看乾脆叫蒸雞腿算了。
胡一怔後不由大笑。
胡:哈哈⋯⋯好厲害的丫頭,嗯!有意思,我倒很喜歡妳。
鳳:呸!誰要你喜歡!自己去照照鏡子吧!
鳳扭頭便走,胡深意的看着。
第廿五場
景:江家廳院
時:日
人:胡、江、村長、孫、狗、七、炮、匪衆數名。
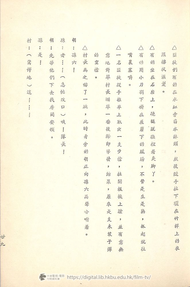
嘩啦一聲,高脚花架被一輛載着槍枝彈藥的手推車撞倒,架上的盆景立卽跌得粉碎。
正與胡站在廳門口談話的村長,聞聲急忙轉頭驚望。
院中呈現出一片零亂。
匪徒們有的在水缸旁舀水淋頭,然後隨手拉下曬在竹桿上的衣服擦拭濕髪。
有的坐在石磨上,蹺腿脱鞋揑着臭脚丫。
有的用小刀割下掛在屋簷下的臘腸,不管是生是熟,抓起就往嘴裏塞嚼。
一名匪徒從手推車上取出一支步槍,拉開板機上膛,並有意無意地對準村長瞄準一番後際卽擊發,結果,原來是支未裝子彈的空槍。
村長為之嚇了一跳,此時身旁的胡正向孫六高聲吩咐着。
胡:孫六!
孫:老⋯⋯(急忙改口)哦!隊長!
胡:先帶他們下去找房間安頓。
孫:是!
村:(驚愕地)這⋯⋯⋯
孫:(向院中)你們都跟我來!
院中的匪徒們立卽湧入廳内。
村長氣極敗壤地瞪了身旁的江一眼,江愧疚低頭不語。
村:胡隊長!(急忙走至胡身前)這⋯⋯這恐怕⋯⋯⋯
胡:(神氣地)江村長!立刻把村子裏主事的人全都招集起來,我有重要事情宣佈,(説完就大搖大擺逕自走入大廳)
村:(無奈地)是!(怒向江)你過來!
村長與江走至院中一角站定。
村:(氣極地)你説,你説,這到底是怎麽囘事?
江:爹!您不是叫我到縣城去報案的嗎?剛巧就遇上偵緝隊追剿土匪到了咱們村子外,所以胡隊長就跟着我囘來啦。
村:可是,這⋯這那像是偵緝隊,簡直就跟土匪一樣嘛?
江:(急作噤聲狀)噓⋯⋯爹,你小聲點。
村:(緊張向廳内張望)唉!這那是自己的家喔!(搖頭嘆息着走岀院門。
抱着小花狗躱在牆角暗處的小狗子,等江轉身走入大廳後,才現身溜出院門。
第廿六場
景:順財房内
時:夜
人:財、狗
顺財正蹲在房中整理捕蝦工具,準備外出捕蝦。
小狗子從外直奔而入。
狗:順財叔叔!
財遂放下手中工作,起身迎前垂詢。
財:咦!小狗子,什麼事啊?
狗:(緊張喘息着)順財叔叔,我們家來了好多人啊。
財:哦!是些什麼人啊?
狗:我也不認識,是爹帶回來的。
財:那一定很熱鬧嘍?
狗:可是,這些人很兇,好像都是壞人呢?
財:噯!小孩子不可以亂説話。
狗:是真的嘛,爺爺還很生氣的罵了爹幾句。
財:好了!我們不談這些,走,我帶你抓蝦去。
狗:(興奮地)好哇,我最喜歡跟叔叔抓蝦了。
財:那就走吧!(提着蝦簍及網具與狗一同出房而去)
第廿七場
景:溪邊
時:夜
人:發、財、鳳、狗、其他衆村民
溪洲之閒,蘆葦深處,沿着小溪岸邊一線,到處皆是點點蝦燈,昏黃明滅,煞是好看。
村民們不分男女老少,皆高捲褲腿地站在溪中,一手提燈一手執網地在水中捕蝦,不時處處響起收獲的歡呼聲。
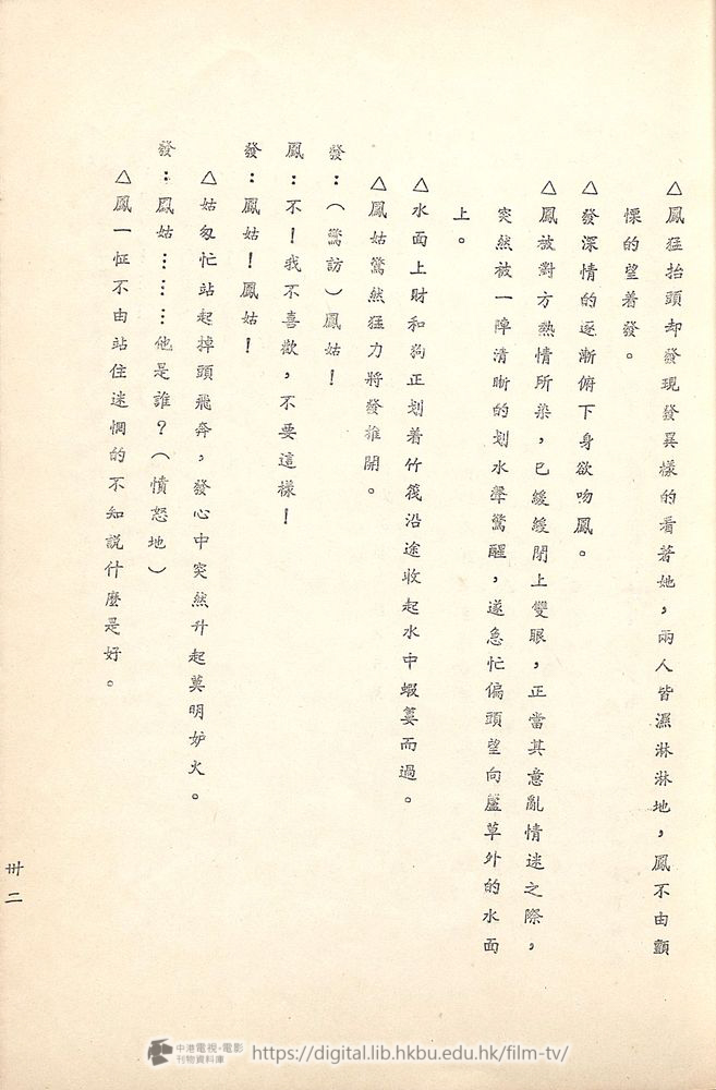
鳳姑也沿着岸邊用網具捕蝦,網了半天好不容易才捕獲一隻大蝦,立卽興奮囘頭,欲向身旁不遠處的順發眩耀一番。
却見發正全神貫注地低頭網蝦。
鳳頓時興奮起捉挾的意念,遂悄悄走至發的背後。
鳳突然雙手用力推發,發立卽一頭栽進水中。
鳳樂得哈哈大笑,並轉身就跑。
發從水中掙扎站起,氣極敗壞地望着鳳。
發:好啊!妳這丫頭,看我不收拾妳!(拔足追去)
鳳隱身藏入蘆草中,掩口笑着緩緩向後退移着。
發早已繞至鳳姑身後方守侯,待鳳移近時才突然現身一把將其捉住。
發:看妳還往那兒逃!
鳳急忙掙扎擺脱,二人嘻笑着在蘆草中追逐。
發:妳跑,妳跑!
鳳:你追呀!你才追不到呢!
鳳轉身欲跑,却不小心絆倒跌落水中。
發驚呼急衝上前。
發:(驚叫)鳳姑!
發一把拉起姑。鳳不依的擂打着發。
鳳:都是你害旳,都是你害的!
鳳猛抬頭却發現發異樣的看着她,兩人皆濕淋林地,鳳不由顫慄的望着發。
發深情的逐漸俯下身欲吻鳳。
鳳被對方熱情所染,已緩緩閉上雙眼,正當其意亂情迷之際,突然被一陣清晰的划水聲驚醒,遂急忙偏頭望向蘆草外的水面上。
水面上財和狗正划着竹筏沿途收起水中蝦簍而過。
鳳姑驚然猛力將發推開。
發:(驚訪)鳳姑!
鳳:不!我不喜歡,不要這樣!
發:鳳姑!鳳姑!
姑匆忙站起掉頭飛奔,發心中突然升起莫明妒火。
發:鳳姑⋯⋯⋯他是誰?(憤怒地)
鳳一怔不由站住迷惘的不知説什麼是好。
發:吿訴我?鳳姑!是不是有別人?
鳳不由看了看遠處的財連自己都不清楚的。
鳳:我不知道!(掉頭奔去)。
發不由跟着鳳的視線看到了財。
發:不!不可能!這不可能!
第廿八場
景:大江邊
時:
人:鳳、發、財、妞、江、胡、孫、七、炮、木、群衆
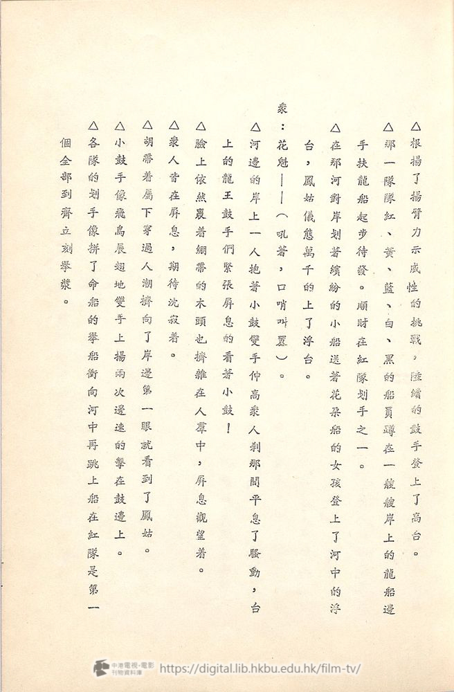
大江邊奔騰的群衆,鑼鼓喧天,順發登上了岸邊的高台英姿挺拔頭上紮了紅巾輕輕試了下高台大鼓的音色。
群:(驚騰高叫)龍王——
發得意一笑看了看另一座高台大鼓上的得根黑中打扮。
根揚了揚臂力示威性的挑戟:陸續的鼓手登上了高台。
那一隊隊紅、黃、藍、白、黑的船員蹲在一艘艘岸上的龍船邊手扶龍船起步待發。順財在紅隊划手之一。
在那河對岸划着繽紛的小船送着花朶船的女孩登上了河中的浮台,鳳姑儀態萬千的上了浮台。
衆:花魁——(吼着,口哨叫囂)°
河邊的岸上一人抱着小鼓雙手伸高衆人刹那間平息了騷動,台上的龍王鼓手們緊張屛息的看着小鼓!
臉上依然裏着綢帶的木頭也擠雜在人羣中,屏息觀望着。
衆人皆在屏息,期待沈寂着。
胡帶着屬下穿過人潮擠向了岸邊第一眼就看到了鳳姑。
小鼓手像飛鳥展翅地雙手上揚兩次邊速的擊在鼓邊上。
各隊的划手像拼了命船的擧船衝向河中再跳上船在紅隊是第一個全部到齊立刻擧漿。
發毫不遲疑的擂出第一聲,那紅隊立刻下漿入水,發緩慢的擂鼓,紅隊依着鼓聲整齊劃一的開始動作。
別的高台也響起了鼓聲。
發是越擂越快紅隊搶先奔出;鼓聲成單音雙音,全是支配船行的方向和速度。
黑隊突然間當前趕上那黃、藍、白也不示弱的鬧個平行。
鼓聲震天此時誰也分不清誰是誰的鼓主,可是這就有了花俏,那順發的鼓音是一下中帶着邊鼓的碎點。
立刻間各隊的鼓音也有了各隊的花俏絶不會亂。
這五隊人馬拼個你死我活誰都奮力爭先一時出了不分上下的局面。
衆人聲嘶竭力地爲各隊人馬喊叫助威,木頭也在爲發財兄弟摇旗喊呐。
只見那鳳姑突然間打了個手勢,發立刻停鼓衆人一怔發在邊鼓上密集的打上碎點子,姑唱了起來,發改碎黏而擂起全音,立刻是凌駕所有鼓主之上。(插曲)
別台的花魁也唱了起來却蓋不住姑的一切。
胡吃驚的看着姑那姿容那神態一次又一次的刻在胡的心上—而鳳却深刻的看着財為她加油着。
最高潮了搶花魁,鳳更加賣力的擧起綵球來只見那紅隊一馬當先到達台邊,發敲出一個雙音那龍舟是立刻煞住,發來囘車輪船滾動者鼓槌,那龍舟360度的大迴旋,舵手站起拿住了姑的球高擧衆歡呼。
要搶岸了那更是使出了絶活!紅隊終於奪得龍王賽頭彩。
群衆們興奮的高擧起汗水淋漓的發吶喊着。
衆:龍王!龍王!
木頭也忘了傷痛,高擧得又跳又叫,但他在無意間向一側瞥了一眼,却突然有所發現。
原來所發現的却是不遠處的胡等一千匪衆。
木霎時震驚得呆若木雞。
此時五彩繽紛的花船已接囘了鳳姑。
可是鳳却對着人群中疲憊的財招着手。
財看着發的高高在上笑了笑憤然的走出。
鳳高擧着手向財揮動,但財却未曾發覺,而獲自孤寂地離開喧鬧歡愉的羣衆。
發在高處無限歡欣中,看到鳳姑神色有異,遂順着其視線尋去,結果所見的竟是行中的財。
胡也順着鳳的視線,向財望去。
此時正在人羣中倉惶奔逃的木頭,却巧與財擦肩而過。
財感到意外,遂急忙一把將木頭拉住。
財:咦!木頭,你怎麼啦?
木:(驚恐掙扎)啊!放開我,快放開我⋯⋯⋯
胡、孫等發現木頭,頓感一怔。
孫:老大!那小子⋯⋯⋯
胡:糟了!就是那天的漏網之魚,快追!(率衆撥開人羣向木急奔而去)。
木掙脱財,立卽轉身奔逃,但他掛在頸上的一條金項鍊却斷落在地上,財拾起後焦急追喊。
財:木頭!等等!你的東西⋯⋯木頭!(焦急)
胡帶着手下氣勢兇湧地急追着,羣衆們被衝撞得人仰馬翻。
鳳姑見狀心感訝異,遂跟踪查看究竟,但人羣湧擠,行動困難。
第廿九場
景:密林
時:日
人:財、發、鳳、胡、孫、江、七、炮、木、匪徒數名、村長、村民數十名
木在林中踉蹌奔逃。
財揮着手上項鍊在後追喊。
財:木頭!木頭⋯⋯⋯
木不小心被樹根絆倒,跌滾地上呼痛呷吟。
財終於追上,急忙將其扶起。
財:木頭,木頭⋯⋯
木:(惶恐嘶喊)放開我!放開我——
財:木頭!你冷靜一下,是我,順財呀!
木:(漸漸恢復意識)啊!順財哥!村長呢?我要找村長。
財:找村長!?到底發生什麼事?
木:有土匪!有土匪!
財:(大驚)土匪!?土匪在那兒?
木:在⋯⋯(突然身體一震,兩眼驚恐地瞪着財)。
財莫明其妙地看着木。
不料木竟緩緩向前,倒入木的懷襄。
財急忙將木抱住,才發覺其背後已插着一柄飛刀,財一聲驚叫,惶然鬆手跌坐地上。
密林深處的孫六,正得意地玩弄着手上飛刀,冷笑逼近而來。
財轉身欲逃。
來路上早被胡及其手下截斷,且彼等也已散開,從四面包抄過來。
財驚恐絶望,不知所措地望着衆匪緩緩後退,但頸後却被孫六的刀尖抵住,無法動彈。
胡臉上現出兇殘冷酷的表情,一步一步逼近至財身前。
財惶恣顫抖地望着胡。
胡從懷裏掏出手槍。
一旁的江見狀焦急,急忙上前替財求情。
江:老大!順財是個老實人,他絶對不敢説出去的,你⋯⋯你就饒了了他吧⋯⋯
胡根本看都不看江,猛一揮掌,將江打得翻滾倒地,並繼續擧起手槍,向財的眉心逼去。
財驚恐欲絶地張着大嘴,本能的將頭後移。
財頸後已被刀尖刺破皮肉,鮮血立卽流下。
胡瞼上的笑意更濃更冷。
財張着嘴,發出無聲的哀泣。
胡扣着手槍板機的食指,正緩緩運力下一壓。
財額頭佈滿汗珠,呼吸也越來越急促,兩眼瞪得幾乎裂地瞪着手槍板機。
突然扳機壓下,手槍立卽發出一聲清脆的空槍擊發時的撞針卡簧聲。
OS鳳姑的尖叫聲同時突然響起。
鳳姑瘋狂地從林中奔出。
財已頹然跌坐地上,全身劇烈顫抖不已。
鳳猛力推開孫,急撲至財身旁將其緊緊抱住。
鳳:(哭喊)順財哥!順財哥!
順財突然暴出歇斯的里的悲號,鳳焦急淚流地將其抱停更緊。
財:(哭叫)大哥!大哥!快來救我!快來救我⋯⋯⋯
鳳:順財哥!不要怕,不要怕!(怒目轉向胡)你們都是瘋子啊,為什要欺負他,為什麽!?他從不傷害別人,你們為什麼要狠心傷害他!?
財:(神精質地)求求你們,求求你們,饒了我吧,我給你們磕頭,我給你們磕頭(跪地連連磕頭)。
鳳:(急忙哭叫拉阻)順財哥,不要這樣子,不要這樣子!
胡冷眼望着二人,臉上充滿妒恨之色,身旁的孫已漸感不耐。
孫:老大!剛才為什麽不乾脆斃了他。
胡:(自言自語)我不懂,我真不懂,她到底喜歡他那一點?
孫越看越火,遂衝前一脚將跪着的財踢得仰翻滾地,並擧刀順勢刺下。
鳳姑見狀急忙奮力抱住孫腿。
孫怒一脚踢開鳳,繼續衝前抓起財的衣領,正欲一刀刺下。
鳳姑奮不願身,再度撲囘抱住孫的手臂糾纏不休。
鳳:我求求你,不要殺他,不要殺他⋯⋯⋯
孫連連揮臂,皆未能將鳳甩脱,不由怒極。
孫:媽的!妳再不放手,老子就連妳一塊宰了。
鳳仍然死命抱住孫臂不放。
鳳;好!你殺我吧!只求你不要再傷害他。
孫:媽的!(用力甩臂)。
孫將刀換交另一手,並快速向財刺去。
鳳情急之下,慌忙用手抓住刀仞;,結果割破掌心,鮮血從指縫間流出,但其手却仍然緊抓刀仞不枚。
孫不由怔住,動作因而停頓。
OS材:(大吼)住手———
村長帶着大批村民匆匆趕到,順發也在其中。
發:鳳姑!(急步走至鳳身前)。
鳳並未理會,却反奔至仍然顫抖不已的財身旁,將其扶靠懷中。
鳳:順財哥!不要怕,我在這兒,誰也不敢再欺負你⋯⋯⋯
發見狀怔住,神情頓然變得痛苦難堪至極。
江見父怒容瞪視着自己,只好硬着頭皮上前招呼。
江:爹!
村:(掌打了江一耳光)畜牲!(又轉向胡)胡隊長!你們這是幹什麼!?
胡擺出一付不可一世的姿態,傲然瞪視着村長。
胡:哼!躺在地上死掉的那個,正是我們要追捕的匪徒。
村:胡説!木頭是個生意人,經常到我們村子裏賣針線花粉,大夥全部認識他,你憑什麽説他是匪徒?
胡:(走至屍體旁拾起地上的金項錬)就憑這個!
村長及村民們全弄不清怎麼囘事。
胡得意地將金錬收入懷裏。
胡:這是贓物!各位還有什麽疑問沒有!
村:(猶豫一陣)那⋯⋯那這跟順財有什麽關連?
胡:他協助匪徒公然拒捕,有串謀通匪的嫌疑。
鳳姑聞言大怒。
鳳:(喝斥)你少胡説!
胡轉頭怒視鳳,村長急忙代為解説。
村:胡隊長,順財一向勤奮老實,很少離開村子,他絶不能跟土匪有任何牽連。
胡:你能擔保!?
村:能!不單是我,相信全村子的人,都能替他保證。
胡:(故作思考狀)嗯⋯⋯(然後緩緩走至鳳姑身前)。
鳳毫不畏懼地怒視着胡。
胡不懷好意地連連冷笑。
胡:丫頭!我答應饒了他,不過,這可是衝着妳的面子啊,哈哈⋯⋯⋯⋯
(轉身率衆離去)
財仍然細聲喃喃自語。
財:大哥!快來救我,快來救我⋯⋯⋯
鳳:(緊緊抱住財)別怕,我會保護你,可憐的順財哥,我永遠都不會離開的,順財哥⋯⋯⋯
默默站在一旁的發,黯然悄悄離去。
第卅場
景:順財房内
時:夜
人:鳳、財、發、母、萬老先生
大夫萬老先生為昏迷躺在床上的財把完脈後,遂緩緩站起身來,一旁的周母立卽迎上前去。
母:(關切地)萬老先生,你看這孩子⋯⋯⋯
萬:不要緊,受了點驚嚇,吃兩服葯,休息休息就會好的(説着往房外走去)。
母:(跟在萬後)哦!那說好了,謝謝您啊!
留在床邊的發,待二人走房後,遂默默低頭為財蓋好被子。
財在昏迷中發出囈語。
財:大哥!大哥!快來救我,快來救我⋯⋯⋯
發臉上現出又憐愛又怨恨的複離痛苦表情。
發:(輕喚)弟弟⋯⋯(起身背轉臉去擦拭眼淚)。
OS鳳:(壓低聲音)順發哥!
鳳出現在窗外。
發神情瞬息數變,最後才勉强壓抑住激動的情绪。
發:(冷冷地)妳放心吧!他會平安無事的。
鳳愧然垂下頭。
鳳:順發哥!我⋯⋯⋯
發:(痛苦地)什麼都不用說,我都明白了。
鳳:不,你不明白,我自己也是在那一刹那之間才發覺的,原來,他早已經是我生命的一部份,我沒有辦法再選擇,我⋯⋯⋯
發:(怒吼)不要説了!
鳳一怔,無言望着發。
發心情矛盾至極,片刻後才稍微壓抑住激動的情绪。
發:我要出去想想,我要一個人好好去想一想!(説着已緩緩走出房去)。
鳳望着發遠去的身影,臉上也現出愧疚和痛苦的表情。
鳳:(喃喃自語)順發哥!原諒我⋯⋯⋯
第卅一場
景:漁港碉頭
時:日
人:爹、根、牛、生、胡、江、孫、七、炮、匪衆數名、漁民數十名
漁港入口處一群漁民亂哄哄的圍着一塊佈告牌,牌上寫着漁港暫時封閉,漁民如非經特許和自出海捕魚十,一律嚴加處分。
圍觀的漁民們見牌憤怒喧嘩着。
根:放狗屁,這玩意是誰貼的?
生:縣城裏還管咱們打漁的事,這不是胡鬧嘛?
牛:(問爹)老爹!您看怎麽説?
爹:沒這個道理啊!我們進去看看。
爹領頭帶着衆漁民進入碼頭。
碼頭內胡坐在一個綁船繩的石墩上,孫、江二人站立身後,其餘匪衆則個個執槍,殺氣騰騰地監視着衆漁民。
衆漁民走至某一距離後卽站定不敢再前進。
爹:你們這什麼意思,不准我們打漁,大夥吃什麼?
衆:對對⋯⋯⋯
胡輕視地把玩着手槍。
胡:(冷笑)很簡單?不打漁就不要吃漁嘛!
衆人聞言立起騷動,根血氣方剛遂挺身而出。
根:開什麼玩笑!(向漁船走去)。
砰的一聲巨響,胡的槍口冒出一陣青煙。
根中彈倒地。
江神情一怔,驚望胡。
胡望着衆人冷笑。
胡:這像開玩笑嗎?
衆人大嘩,牛憤怒衝出。
牛:你們還有王法沒有,老子跟你們拼了!(衝向匪)
又是一聲槍響,牛也頹然倒地。
胡將手上的槍擧起愰了愰。
胡:槍子就是王法,有誰還想試試?
衆人被鎮嚇住,個個敢怒不敢言,生想衝動上前,却被爹一把拉住。
站在胡身後的江再也忍不往而憤然上前。
江:老大!你為什麽要這麼做?
胡猛囘頭一巴掌打在江臉上。
胡:我還要向你報告!?(大聲吼)滾囘去!
江捂着瞼,憤怒地看了胡一眼,遂低頭走向漁民。
衆漁民個個鄙視着走過身前的江,其中有人竟向其吐口水。
孫高聲向衆人吼着。
孫:你們還站在這兒幹什麼!?快回去!
衆人不甘願地緩緩向碼頭外散離。
第卅二場
景:周家大廳
時:日
人:發、財、母
發坐在廳中一杯接一杯地喝着悶酒,母在一旁勸着。
母:你就少喝點吧,會傷身子的。
發:娘!不要頰我!讓我一個人靜靜,(擧杯猛一口喝乾)。
母:這孩子!你到底是怎麼啦?(望着發繼續一杯杯的猛喝痛心萬分)唉!你看看你們一個病了,一個瘋了,叫娘怎麼安得了心呢⋯⋯⋯(哭泣)
發抓起酒壺正要再往杯裏倒時,却突然被人將壺按住,仔細一看,原來是被着衣衫病容滿面的財。
財:大哥!少喝點吧!
發猛然拍桌跳起。
發:(怒吼)你憑什麽管我——
財:(一怔)大哥!
發:(恕吼)不要叫我大哥!哼!你現在得意了吧?平日倒裝得一付老實相,其負你比誰都卑鄙——
財:不!你一定是誤會了,你聽我説⋯⋯⋯
發:我不要聽你説!有好聽的去跟鳳姑説去,我恨你!我恨你——
(踉蹌着奔出大廳)。
財:大哥!大哥!
母追至門邊,但未能及時攔阻發。
母:順發!順發!(氣得跺脚)又是鳳姑,又是鳳姑,真是太不像話了!(又喊着追出廳外)順發!順發!
財望着門外,表情十分痛苦。
第卅三場
景:江家大廳
時:日
人:胡、江、孫、村長、七、炮、小狗子、鄉紳甲、乙、丙、匪衆若干
村長和鄉紳們噤若寒蟬地看看胡來囘走着。
村:隊長!這筆數目,實在是太大了,一時我們恐怕湊不出來。
胡:(停身轉向村)錢並不多,才兩萬塊大洋而已,又不是我要的,是縣城裏催得緊嘛。
甲:那您看我們可不可以派人到縣城裏打通下關節?
胡:混蛋!你是跟我過不去是不是!?
乙:不,不,您別生氣,實在是這筆錢我們一時拿不出來⋯⋯⋯
胡:那就繼續封鎖漁港,等什麼時候把這兩件事都辦成了,咱們再説吧。
村:隊長!這錢的事,我們可以盡量想辦法,可是,您硬要娶鳳姑的這樁事,豈不是太覇道了嗎?
胡:霸道!(冷笑)我是爲了徵求她的同意,才叫你們去説親啊!
丙:可是!這村子裏所有人都知道,她是已經有了對象的。
胡:對象算什麼!?只要她沒嫁,你們就得替我辦成它!
躱在窗外偷聽的小狗子,急忙溜出家門。
第卅四場
景:周家外貌
時:日
人:財、狗、發
財提着捕蝦網具走出家門,狗正巧匆匆奔來。
狗:(喘急地)順財叔叔!不好了,不好了!
財:什麼事?小狗子!
狗:他⋯⋯他們要⋯⋯要搶走鳳姑姑。
財:(大驚)誰?他們是誰?
狗:就是我們家的壞人啦。
財:啊⋯⋯⋯
狗:順財叔叔!你快點嘛,快帶鳳姑姑逃走呀!
財:(心亂如麻)小狗子,你先囘去。
狗:不!我要你現在就去找鳳姑姑。
財:好!你囘家,我會去的。
狗:一定要去啊?
財:一定去?
狗見財答應,才放心奔向歸途。
財轉身欲將網具放囘家中,但想想却又住脚猶豫起來。
財:(喃喃自語)不!我不能去,我不能再讓大哥誤會我,可是⋯⋯(矛盾焦急地在門口來囘走着)
發喝得醉地從外囘來。
財見狀急忙上前攙扶。
財:大哥!
發:(揮手推開財)滾開!
財:大哥!鳳姑現在的處境很危險,你快帶她去避一避吧。
發:鳳姑?(悲笑)嘿嘿⋯⋯鳳姑是你的,為什麼你不帶他走,你們走得越遠越好,哈哈⋯⋯(瘋笑着踉蹌走入家門)
財:大哥⋯⋯(痛苦地低頭提着網具默默離去)
第卅五場
景:李家客廳
時:夜
人:鳳、爹、村長
砰的一聲,爹拍桌憤而站起,面對村長怒吼着。
爹:他做夢!
村:老爹!我看你就讓順發趕快帶着鳳姑走吧,不然他是不會死心的。
爹:哼!我就不信他們敢來搶?
村:唉!老爹!他們連人都敢殺,還不敢搶嗎?
爹:(固執地)要殺就叫他們來殺吧,要娶鳳姑,辦不到!
姑:(驚恐)爹!
爹:妳放心好了,你和順發的事,爹會替你做主。
姑:不!爹!不是順發!
爹:(一怔)咦?鳳姑!妳説什麼?
姑:我⋯⋯我説的是順財——(掉頭飛奔出門)
爹:(驚惑)啊⋯⋯鳳姑!鳳姑——
第卅六場
景:周家大廳内外
時:夜
人:發、鳳、母
周母將水盆裏的毛巾乾後,輕輕貼在醉酒躺着的順發額頭上。
母:唉!喝成這個樣子,真是作孽啊!
OS鳳姑:(聲音由遠漸近)順財哥!順財哥⋯⋯⋯
鳳姑急匆匆地奔至周家門外,見周母含怒從內走出,不由怯生生地停住腳步。
鳳:大嬸!我找順財哥!
母:(厭惡地)不在!
鳳:那他⋯⋯⋯
發從躺椅上掙扎着站起,搖搖晃晃地走至門邊,由門缝間向外窺視。
OS母:我跟妳説過不在了,我也不太歡迎妳來找他,妳聽懂我的意思吧?
鳳委屈低頭緩緩轉身走了幾步後,突然放脚狂奔而去。
躱在門後的發瞼上現出痛苦之色。
第卅七場
景:溪邊
時;夜
人:鳳、財、發
鳳獨自在河堤上奔跑着。
她一口氣奔至河堤的盡頭才停脚向溪下望去。
溪中一艘掛着蝦燈的小竹筏,財正蹲在筏上低頭網蝦。
鳳姑欣喜呼叫着奔下河堤。
鳳:順財哥——順財哥——
竹筏上的順財一怔,驚然抬頭向岸上望去。
鳳已奔至溪邊,但與竹筏間有一水之隔,故只得站在岸邊叫喊着。
鳳:順財哥——快划過來,我有話跟你説!
財方欲撑篙將筏子划向岸,但想想又猶豫不決。
財:鳳姑!我大哥這幾天老是喝酒,你快去勸勸他。
鳳:胡三寶已經派人到我家求親了,我來問問你的意思。
財:我?我那有什麼意思,妳該去問問大哥才是。
鳳:順財哥!我在問你啊!
財:不!>
第一場
景:海上
時:晨
人:老爹、春、根、生、牛、福、衆漁民。
金紅色的太陽從海平面上升起。(主題音樂聲起)
十餘艘小漁船,在銀光閃礫的海面上散浮着。(片頭字幕)
船頭衝破浪濤,激起水花四濺。
身體健壯的漁民撒下巨網。
長串的巨網,隨着船身前行而拖延着,漸漸圍成一道弧形網牆。
站在船首瞭望架上的小伙子,頻頻向鄰船彼此高聲呼應着。駕駛艙內,手握着舵盤的老爹,隨着小伙子的手勢轉動輪盤。
兩名漁民開始轉動收網絞盤。
牽連漁網的粗繩在滑輪上滑動。
數名漁民合力將網拉起。
巨網離水,網中滿是活蹦亂跳的魚群。
魚群倒入船艙。
衆人臉上洋溢着典奮之情。
駕駛艙内的老爹摇響着掛在窗前的銅鐘。
鄰船也紛紛響起鐘聲,霎時彼起彼落。(字幕完)
第二場
景:沙灘
時:日
人:小狗子
海浪衝上沙灘,漫過一雙小孩的光脚背之後,又迅速退冋海中,但却留下無數白濁泡沫,和一顆色澤鮮明的小殼。
小狗子彎涙拾起貝殼,細看一陣,隨卽將身奔離。
小狗子奔跑遠去,漫長的沙灘,留下一行清晰的脚印。
第三場
景:周家外貌連村中街道
時:日
人:小狗子、周母、江村長、鄰婦甲、乙、丙其他衆鄰、路人
小狗子光着脚丫,在村中街道上奔跑着。
周家大門外圍着眾多鄰婦,大家正在向滿春風的周母道賀。
衆婦:大嬸!恭喜,恭喜!妳們家老大要囘來啦。
周母:謝謝,謝謝⋯⋯⋯⋯
小狗子奔來,突然住脚,並閃身躱在一側窺視。
衆婦七嘴八舌地圍着周母。
婦甲:周大嬸,您真是好福氣,老二又勤快又老實,老大更不得了,現在連大學都已經畢業啦。
周母:那裏,那裏,這還不都是靠祖先的保佑。
鄰乙:説真的,將來真不知道,誰家姑娘有前世修來的福,才能當你們家媳婦。
鄰丙:噯,這妳就別操心了,咱們村子裏誰不知道,李家鳳姑娘和大嬸家老大,是天生的一對啊,哈哈⋯⋯⋯⋯
衆婦:對對⋯⋯⋯哈哈⋯⋯⋯
躱在牆角的小狗子,神色有點不以為然的樣子,當其方欲轉身離去之際,突然被人叫住。
O.S.村長:小狗子!
江村長正向小狗子走來。
狗子:啊!爺爺⋯⋯⋯
村長:小狗子!見到你爹沒有?
狗子:沒⋯⋯⋯沒有哇!
村長:哼!又不知道躲到那兒去賭去了。
周母與衆婦發現村長,立卽上前招呼。
衆婦:村長!
周母:村長!快請屋裏坐。
村長:不客氣了,我是順路過來看看,哦,周大嬸,聽説順發快囘來啦?
周母:可不是嘛,前兩天我才叫他弟弟去城裏接他呢:説是令天就能到家了。
村長:哦!那真是恭喜您啦。
周母:那裏!謝謝,謝謝⋯⋯⋯⋯
一旁的小狗子乘機溜走。
第四場
景:李家外貌
時:日
人:狗、鳳姑、妞、梅、秋、喜、夏、衆村姑
小狗子從掛曬的漁網下鑽過,向李家直奔而來。
當他奔至李家大門外時,頓時住脚楞視。
鳳姑正被一羣打扮得花枝招展的村姑們,前呼後擁地從屋内推出。
梅:快點,快點,我的大小姐!
鳳:好嘛,好嘛,人家頭還沒梳好呢?催什麼!?
喜:哎喲,妳已經打扮了一個上午,還嫌不好哇?
夏:咦,這叫女為悅己者容啊。
鳳:妳⋯⋯⋯
秋:好了,好了,鳳姑!再不走,周家老大可就快到村子啦。
鳳:哼!到了就到了,管我什麽事?
妞:嘿!這可是妳説的,到時候,可別怪我們把妳心上人搶走嘍!
衆:(笑)哈哈⋯⋯⋯
鳳:(羞急)死火妞!妳⋯⋯(正欲追打,却發現小狗子)咦!小狗子!
小狗子滿懷心事地望着鳳姑。
鳳姑感到訝異,急忙走至小狗子身前關心垂詢。
鳳:怎麽啦?小狗子!
狗:(將懐中貝殼取岀)鳳姑姑,妳看我撿的這個貝殻好不好看?
鳳:嗯!好看,好看極了!
狗:要是妳不去接順發叔叔,我就送給妳。
鳳:(一怔)這⋯⋯⋯
衆村姑已等得不耐頫。
梅:好啦,好啦,小狗子,今天妳鳳姑姑有事,改天再來找她玩,乖!
小狗子不語,兩眼依然期待地望着鳳姑。
鳳姑正疑惑不解地楞視着小狗子,身旁的衆村姑已將她推離家門而去。
妞:走,我們快走吧!
李家門前只剩下小狗子,孤獨的望着已去衆人背影,突然憤而將手中貝殼摔落地上。
狗:鳳姑姑是傻瓜——(轉身奔離)。
第五場
景:海上
時:日
人:老爹、春、根、生、牛、福、衆漁民
船首破浪而進。
老爹將掌號工作交給得根,取出旱煙點燃後走出駕駛艙。
阿福迎面走來。
福:我説老爹啊,準女婿馬上就要囘來了,您也該休閒休閒,享享清福啦。
爹:(裝糊塗)啊,誰呀,你説誰囘來啦?
甲板上的<人哄然大笑。
春:嘿嘿,你瞧,老爹裝得還真像啊,哈哈⋯⋯⋯
生:對了,老爹!什麽時候,請我們喝喜酒啊?
爹:(裝糊塗)咦?我説過要喝酒嗎?
牛:哈哈⋯⋯又來了,我説這老爹,硬是刀槍不入吧。
衆人又是一陣哄笑。
駕駛艙内的得根,也從内伸出頭來打趣着。
根:老爹,今年龍王賽,誰要是搶了個頭彩,您的話還算不算數啊?
福:得啦,就憑你能搶得了龍王賽頭彩啊?別説是順發了,連跟我比,你還差一大截呢。
根:去你的!
衆人大笑。
爹:算數,我的話當然算數,誰要搶得了頭彩,我啊⋯⋯⋯
衆:(齊聲)怎麽樣?
爹:我就睜個眼閉個眼,讓他去問問丫頭的意思。
衆人聞言洩氣地唉聲嘆氣。
根:啊!還要問鳳丫頭⋯⋯⋯唉唷⋯⋯⋯
春:唉!薑還是老的辣,我説得根!死心了吧!還是回去對王小寡婦多下點勁。
根:去你的!
衆人再度哄然大笑。
第六塲
景:河谷
時:日
人:順發、順財、船佚、木頭、梅子、旅客數名
兩岸山壁陡峭的河谷中,一艘擺渡正緩緩向對岸划行。
船伕輕摇着船橹,坐在船首的順發,歸心似箭地遥望着對岸青山,臉上洋溢出興奮之情,弟弟順財則小心翼翼地抱着行裹,蹲在其身後。
發:(感嘆地)唉!過得真快,又是一整年了。
財:大哥,龍王賽又快到了,老爹和大家天天都在盼望你早點囘來呢?
發:那當然,我是他們的主將嘛,哦,對了,鳳丫頭還好吧?
財:(神色微怔)還不是老樣子。
發:(一笑)嘿嘿⋯⋯提起這丫頭我心裏就害怕,你還記不記得,我第一年從學校囘來,就被她們在半途上潑得一身濕,第二年又挖了陷阱,害我掉進爛泥坑裏,去年啊,嘿,真不知道,她們又從那兒弄來一群山豬,追得我滿山亂跑。
財:我想今年大概不會了,鳳姑也長大了嘛。
發:噯!難説得很,你愈想不到的事,這丫頭愈能做得出來,尤其今年我又畢了業,嘿嘿⋯⋯我看八成她會把我活埋了。
財:那⋯⋯那怎麽辦呢?(緊張地抬頭向對岸山頭張望)。
山頭上的梅子探頭望見河谷中的小船,不由得意轉身消失在樹石後。
小船靠岸,兄弟二人踏上岸邊,正巧遇見賣針線花粉的小販木頭,於是彼此客氣地招呼着。
木頭:噢!順發哥,您可囘來啦。
順發:木頭,好久不見,生意好嗎?
木頭:托福,托福,馬馬虎虎啦,嘿嘿⋯⋯哦,不躭誤你囘家,改天見。
順發:好,改天還要跟你買點胭脂花粉呢。
木頭:嘿嘿,你不説我也知道,準又是送給鳳姑娘的是吧,哈哈…⋯⋯(轉身向渡船走去)。
第七場
景:林蔭山道
時:日
人:財、發、夏、秋、妞、衆村姑
兄弟二人戰戰競競地走在林蔭山道上。
財:大哥!我看咱們還是多繞點路,走山脚下吧。
發:是福不是禍,是禍躱不過,反正已經來了,就看看她們又想出什麼鬼點子。
二人繼續惶惶前行,却發現前面路舖滿了五彩繽紛的花瓣,不由怔然住脚。
二人方感訝異,突然聽見路旁林中傳來一聲輕笑,遂立卽轉頭望去。
赫然發現大妞站在路中,似笑非笑地望着二人。
二人本能地向四週尋視一番,却不見其他芳踪。
發:(嚥口水)就⋯⋯就妳一個⋯⋯⋯
大妞不由掩嘴一笑,並提着根雞毛揮子奔上前來。撣妞:怎麼,嫌少啦?
發嚇得急忙用手抱頭,豈知大妞只是幫他把全身上下的灰塵撣了個乾淨,發見狀楞住。
妞撣完又笑看向一旁的財望去,財心驚肉跳地退後一步。
妞:你啊!免了吧!(掉頭奔去)
發:大妞!這⋯⋯這是怎麼囘事?
財:大哥!我看一定有陰謀。
二人四目對視,不得其解。
突然兩旁林中又笑着衝出夏、秋及一群村姑,將發圍住。
發嚇得臉色大變,雙手已被衆女拉住不能動彈。
數名村姑不由分説的,將一串串花環分別套在發的脖子上。
發:這幹什麽,妳⋯⋯妳們這是幹什麼?⋯⋯⋯
其中一名村姑,將整瓶的香料全倒在發的身上。
發:哎呀!香死了⋯⋯我的天,妳把整瓶香粉全倒在我身上了⋯⋯
夏領頭,眾女拉着順發往林中行去。
發:哎哎⋯妳們倒底想幹什麼,先説給我聽,哎⋯這樣拉拉扯扯多不好⋯⋯哎⋯順財!順財⋯⋯
順財在一旁急得不知所措。
財:大哥!大哥⋯⋯妳們⋯⋯
秋:(兇巴巴囘頭瞪視財)急什麼,我們又不會吃了他。
財:(呆住)啊⋯⋯
第八場
景:林中空地
時:日
人:發、財、鳳、梅、喜、妞、夏、秋、衆村姑
發被衆女硬拉着、推着帶入林中。
發:哎哎⋯⋯我怕妳們了好不好,倒底要把我帶到那兒去嘛⋯⋯
林中空地上,早已圍着另一堆村姑們,她們緊緊地靠在一起,似乎有意不讓別人看到圈內所圍的是什麼東西。
梅:來了!來了!
O.S妞:快抓住她,抓住她。
O.S喜:我抓不住嘛,哎唷!她打我呀!
發已被帶到圈外。
發:這⋯⋯妳們這是⋯⋯⋯
O.S妞:(呼痛)哎唷——妳⋯妳怎麼咬我呀!
衆女頓時哄然大笑。
梅:好了,人到了,把她放開吧。
發疑惑地望向圍着的人圈。
人圈散開,露出羞答答的鳳姑。
發眼光頓時一亮,不由喜形於色。
發:鳳姑!
衆:(故意發出怪聲)啊⋯⋯⋯
鳳姑不由一窒,滿面通紅。
梅:情郎一聲叫,小妹心肝跳⋯⋯(被鳳姑狠踩一脚)哎唷——
鳳姑乘機轉身欲逃,但却遭大夥攔住。
喜:咦!想跑,那這麼容易啊。
梅:對,可不能讓她跑了。
妞:鳳姑!往年整他(指發)我們都是聽妳,今天可也得聽聽我們的了吧。(向衆女)大夥説,對不對!
衆女熱烈響應。
衆:對對!我們要看!我們一定要看!
發不知衆所論何事,不由好奇。
發:看!看什麼啊?
衆大笑,鳳焦急頓足,裝出一付兇巴巴的神色,向發衝去。
鳳:看我修理你!
發大吃一驚,急忙底頭欲躱,不料鳳奔來竞迅速地在發臉上吻了一下,然後轉身逃離,衆女立卽爆起笑聲。
發撫着臉,呆楞得不知所措。
鳳穿出人群,正巧撞在順財懐中。
財:鳳姑!
鳳:(欲言又止)討厭!(迅速奔離)。
財望着鳳姑奔去的方向,臉上露岀茫然之色。
第九場
景:周家廳院
時:日
人:發財、周母
院門被推開,發從外奔入。
發:娘!娘⋯
周母聞聲從大廳走出。
母:(驚喜)順發,你可囘來了!
母子相擁,喜極而泣,周母突然嗅到發身上香氣,不由皺眉。
母:咦!順發,你這身香味⋯⋯⋯
發:(驚覺跳開)娘!這⋯⋯⋯
母:你啊!就會拈花惹草。
發:我⋯⋯⋯(欲辯無詞)。
母:還不快去換下來(拉着發就往廳内走)。
財提着行裏走入院門,見狀苦笑着隨後跟去。
第十場
景:周家大廳
時:夜
人:發、財、周母
桌上擺滿了飯菜,周母不斷地為順發碗裏挾菜。
母:來,多吃點。
發:行了,娘!我都快撑得動不了啦。
母:胡説,吃那麽一點,就飽啦?
發:娘!妳怎麼忘啦?一囘來又是小米粥,又是雞湯混呑,我肚那兒裝得下嘛!
母:好好⋯⋯我説不過你。
發:喔,我要出去一會兒。
母:(訝異地)出去!?
發:我跟人家約好的。
母:誰呀!?
發沒囘答,却向财望去。
財發現母親眼光正轉來,急忙心慌低頭吃飯。
周母望着兄弟二人神秘表情,心中已了然。
母:順發啊!不是我反對你交朋友,你是個讀書人,總得,總得找個門當互對的嘛。
發:娘!現在是什麼時代了,還講究這套。
母:唉!真是的,你也不為娘想想,娘就是不喜歡那丫頭,野裏野氣的。
發:(堅決地)可是我喜歡!
財驚然望向周母。
周母瞼上現出漠落之色,沉默一陣後遂幽然而語。
母:唉!隨你吧,反正你也長大了⋯⋯⋯
發自覺過份刺傷母親,遂溫和地走近母親。
發:娘!我去去就囘,待會兒再陪您聊天。(轉身走出)
母:這孩子,我真不知道,那丫頭到底那點迷上他了。
財怯生生地望看母観。
財:(低聲)娘!鳳姑不錯的。
周母立卽將怒出在財身上。
母:什麼不錯!不要以為她每天給你送飯,就認為不錯,哼!説穿了,還不是想嫁給咱們家順發。
財欲言又止,默默端起飯碗。
第十一場
景:李家大廳
時:夜
人:老爹、鳳姑
鳳收拾桌上殘餘的碗盤,突然發現碗邊放着一顆貝設,遂急忙取起細看,原來正是日前小狗子帶來的那顆。
鳳:爹!
坐在躺椅上吸着旱煙的老爹,聞聲懶洋洋地轉頭望向鳳姑。
爹:嗯!什麼事啊,丫頭!
鳳:(指貝設)你這是從那兒來的?
爹:哦!是我在門口撿的,怎麼!不是妳丢的?
鳳姑沒囘答,却楞楞望着手上貝殼出神。
老爹感到奇怪地打量鳳姑。
爹:丫頭!丫頭!
鳳:(猛然驚覺)啊!
爹:妳在想什麼?
鳳:(掩飾地)沒⋯⋯⋯沒什麼?
爹笑着起身走近鳳姑。
爹:嘿嘿⋯⋯妳呀!那點鬼心思還想瞞得了我?
鳳:什麽嘛!你又扯到那兒去了?
爹:快説實話,妳今天接到順發了沒有?
鳳:(嘟氣)沒有!
爹:沒有!?這就怪了。
鳳:人家接到順財哥了嘛。
爹:嘿嘿!好啊!臭丫頭説反話,快吿訴爹,那小子怎麼説?
鳳:誰呀?你説順財哥啊?
爹:得了,得了,爹的這點本事,妳全學會了。
爹生着悶氣,鳳在一旁偷笑,突然(OS)外傳來歌聲,鳳頓然驚望窗,爹却反倒不由笑了。
第十二場
景:山林夜色
時:夜
人:
歌聲響徹雲霄,月亮高掛樹梢。
情意綿綿的歌聲,旋繞在山林空谷之間,令人陶醉遐思。
第十三場
景:李家大廳
時:夜
人:老爹、鳳姑
鳳姑依立門前,傾聽歌聲,老爹悄悄走至其身後。
爹:(打趣地)這是誰啊?深更半夜,難貓子亂喊叫的。
鳳:(羞惱)我⋯⋯我去把這隻難貓子趕走。
爹:(故意捉狹)對,是一定要去的!(突然做了個鬼瞼)
鳳:(跺脚)討厭!(轉身急奔而出)
爹:(得意大笑)哈哈⋯⋯⋯⋯
第十四場
景:高崗上
時:夜
人:順發、鳳姑
月亮灑在波光緯X的海上,站在高崗山引頸高歌的順發,唱出無限情意。
鳳姑岀現在其身後,靜靜聽着。
順發將滿腔情意,化為歌聲,不斷向大海傾訴着。
鳳姑瞼上已有感動之容。
順發直到一曲唱完,才發現到身後的鳳姑,不由驚喜奔近。
發:鳳姑!
鳳姑從陶醉中驚然囘復意識,立卽羞惱地頓足嚷着。
鳳:你是想嚷得全村的人都出來看是不是!?
發拉住鳳的手。
發:鳳姑!我這是唱給妳聽的。
鳳:(甩開手)哼!肉麻兮兮的,難聽死了。
發:真有那麽難聽嗎?
鳳:本來就是嘛,吵死人了。
發:可是,妳總該聽得出我歌裏表達的意思嘍。
鳳:我又沒聽清楚,誰知道你唱什麽?
發:咦!那妳怎麼知道肉麻兮兮的?
鳳:(語塞)啊?我⋯⋯⋯
發:哈哈,好會裝蒜的丫頭。
鳳:你⋯⋯討厭,討厭⋯⋯⋯(不斷搥打着順發)
發挺身不動笑着讓鳳搥打一陣後,突然一把將其拉住。
發:鳳姑!嫁給我!
鳳聞言一怔,楞楞呆視着發。
發用熱情的目光,牢牢注視着鳳。
二人四目漸漸接近,突然鳳感到一陣顫抖,急忙推開發,並向後連退數步。
鳳:羞笑地)討厭!不理你了!(轉身快奔離去)
發焦急欲追。
發:鳳姑!鳳姑!妳跑不掉的!(見人已奔遠遂不由自言自語地苦笑着)妳跑不掉的⋯⋯⋯⋯
第十五場
景:田間
時:日
人:財、狗
財擧着鋤頭,不斷猛鋤着土地,臉上却現出漠落痛苦的表情。
坐在田埂上的小狗子,雙手托腮目不轉睛地凝視着財,彷彿也是心事重重。
財突然放下鋤頭,抬首凝視注遠方,神色頃刻數變。
小狗子抬頭靜觀其變。
財漸漸收囘視線,而轉移到小狗瞼上時,才驚然警覺。
財:咦!小狗子!你來了多久?
狗:早就來了。
財:哦!?真抱歉,我沒注意到。
狗:順財叔叔!
財:啊!
狗:為什麼你還不快去追鳳姑姑?
財:(一怔)這⋯⋯⋯(尷尬苦笑)嘿嘿⋯⋯小孩子懂什麽。
狗:哼!我才不小了呢,我覺得你好傻,鳳姑姑也很傻,(起身踏着田埂離去)。
財望着遠去的小狗子,不由自言自語着。財:(心聲)我,我真是很傻嗎?
第十六場
景:小村道
時:日
人:鳳姑、大妞
鳳提着食籃,拉着妞在村道上快行,妞緊張兮兮的。
妞:鳳姑!我心跳得都快走不動了,咱們還是囘去吧?
鳳:那怎麼行,説好了今天要替妳和順財哥作媒的。
妞:唉唷!快別説了,我兩條腿都發軟了。
鳳:這可是妳自己同意的,現在想反悔也來不及了。
妞:哎哎……好鳳姑,美鳳姑,妳就饒了大妞我這一遭吧。
鳳:瞧妳的,真沒出息,其實啊他比妳胆子還小,説不定咱們去了,他早就溜了。
妞:真的!?
鳳:騙妳幹什麽,我們從小一塊長大,我還不清楚啊?
妞:那⋯⋯那就沒關係了。
鳳:不過,大妞!咱們得先説清楚。
妞:好,妳説!妳説!
鳳:順財哥是老實人,妳可不能欺負他啊?
妞:不會的,決不會!
鳳:(傷感地)唉!他心地善良,溫厚、篤實,有時候我覺得連順發都比不上他⋯⋯不由一怔)。
妞:咦!妳快繼續往下説啊⋯⋯(發覺失言忙用手捂嘴)。
鳳:(笑)瞧妳真不害臊的。
妞:(尷尬羞笑)嘿嘿⋯⋯⋯⋯。
第十七場
景:田間
時:日
人:財、鳳、妞
財正獨自抱頭苦悶地坐在田埂邊,突然被一聲尖叫驚起。
OS妞:哎唷!我的媽呀!
妞鳳已出現在不遠的田埂小徑上。
妞:妳瞧!他在那兒嘛,妳還説他會溜⋯⋯⋯
財急忙迎上前去。
財:鳳姑!給我送飯來啦?
鳳姑迷惘凝視着財。
財故作輕鬆,想打破雙方的沉悶。
財:哦⋯⋯讓我猜猜,嗯!一條煎魚,炒白葉心,還有⋯⋯我最喜歡吃的炒豆芽,是不是!
大妞打開籃蓋,果然正是這三樣,不由傻傻地望着二人。
財眼根本未曾看着食籃內的菜飯,仍然忘情地注視着鳳。
財:謝謝妳,鳳姑?
鳳望着財,却不由自主地流露出熱情的目光,但瞬卽却驚然掉頭奔去。
妞:(焦急)鳳姑!妳不能把我一人丢往這兒,⋯⋯(緊追而去)鳳姑⋯⋯⋯
財悽然望着遠去的鳳姑。
財:(輕聲地)鳳姑⋯⋯⋯
第十八場
景:高崗上
時:日
人:鳳、發、財
鳳抱膝坐在高崗上,凝視着手中貝殼,内心徬徨至極,不知情歸何處。
她情不自禁,將心聲化為歌曲,幽幽唱出。
松針落葉,月光海水,錯雜交叠在鳳姑臉上,迷惘又徬徨地來囘蹀踱着。•
當曲至終了時,她發現順財正含笑向她漸漸走近。
她期待着,渴望着,臉上洋溢出熱熾的情意,突然——
O.S發:妳怎麼啦?
鳳仔細一看,幻影消失。站在面前的竟是順發。
她滿面的希望,頓時轉成失望。
鳳:(自語)我⋯⋯我怎麼啦?
發疑惑地望着鳳。
發:妳在想什麼?
鳳神情恍惚地沉思着。
發:鳳姑!
鳳:(一驚)啊!我該去準備宵夜。
發:宵夜?給誰送宵夜!?
鳳:順財哥啊!他每天晚上都在河邊捕蝦的。
發:(一笑)妳不是介紹大妞去了嗎?
鳳:是嗎?真是的,你看我多糊塗。
發:鳳姑!你到底是怎麼回事?
鳳:怎麼了嘛?我是怕順財哥餓着。
發:順財,順財,妳就只關心他。
鳳:咦!他是你弟弟,再説我們三個從小一塊長大,我關心他又有什麼不對?(一付嬌蠻之態)
發:(語塞)這⋯⋯好,好,好,妳對,妳對!
鳳:(破顏一笑)哼!小心眼!(轉身奔離)
發:(焦急追去)鳳姑!鳳姑⋯⋯⋯
第十九場
景:江家大廳
時:日
人:村長、老爹、財、狗、根、春、生、牛、福、木頭、衆村民
財和根扶着受傷的木頭,從門外急奔而入,身後還跟着大批村民。
財:村長!村長⋯⋯⋯
村長和老爹正在廳中下棋,聞聲立卽起身出視。
村:什麽事,什麼事?
木頭已被扶至廳外/
財:村長!木頭受傷了!
村:(意外地)受傷!?
爹:這是怎麼囘事?
木頭滿臉是污血,身體虛弱地靠在財肩上。
木:我們在村外九曲溝遇到一批土匪,同行五個人除了我全都被他們殺了。
衆人大驚失色。
木頭繼續敍述詳情。
木:當時,我為了逃避追殺,結果失足掉進山溝裏,才徺𢔛沒被他們找到,要不然⋯⋯(悲痛顫懼而嚎啕大哭)。
村長及衆人皆神色沉重。
村:這些人裏面,有沒有熟面孔?
木哽咽着揺了揺頭。
木:(顫懼地)可是,那個土匪頭子,我這輩子都不會忘得了,他那一雙眼神,又冷,又狠,他⋯⋯他簡直就像個兇神惡鬼!
衆人紛紛小聲議論。
村:順財!
財:村長!
村:你們先把他送到萬老先生那兒裏傷去。
財:是!
財、根,將木扶出江家,衆人也紛紛跟隨離去。
村長背手沉思,來囘度着方步。
村:奇怪,村子附近從來就沒發生過這種事。
爹:村長!我看,咱們還是先派人到縣城去報個案吧?
村:嗯!(囘頭發現小狗子站在門口)小狗子!
小狗子聞聲上前。
狗:爺爺!
村:快去把你爹找囘來!
狗:是!(似有難言之苦,但又不敢不從,遂轉身離去)。
第廿場
景:小茶舘
時:日
人:貴全、孫六、狗、老闆、賭客甲、乙、丙及其他賭衆
三顆骰子擲入碗中,滾動靜止後成了一、二、三點,領時四週響起一片笑鬧聲。
甲:又是一、二、三,通賠!哈哈⋯⋯⋯
江貴全臉色頹喪。
江:媽的!倒了一晚上邪霉了,再欠一把!再欠一把!
衆人不允,立起叫嚷。
乙:不成,不成,你已經欠了兩把了。
丙:對了,沒錢還做什麼莊嘛?
江惱羞成怒。
江:怕什麼!?我江貴全賴過誰的?
坐在一角,帽壓得低低的孫六,聞言猛然一怔。
賭徒繼續與江爭執着。
乙:話不能這麼説,賭錢賭現,這是老規矩啊!
江:(大怒摔碗)哼!什麼規矩不規矩,我又不是今天才來賭的。
丙:咦!幹什麼!?你以為你是村長的兒子,就想耍狠啦?
甲:(勸和)哎哎⋯⋯妤了,好了⋯⋯
坐在一角喝茶的孫六,略將頭抬起,暗自向江打量。
O.S甲:大夥都是老朋友了,何必反臉呢⋯⋯
甲將江拉至一旁,店老闆也聞聲趕來。
甲:我説貴全啊!勝敗是兵家常事,輸了改天再來就是了嘛。
江:媽的!我真嚥不下這口氣。(向老闆)張老闆!再借我兩個。
闆:(尷尬地)江少爺!不是我不借!實在你借得太多了,都還沒還呢。
江:你⋯⋯
小狗子已站在店門口,又怯又怨地望着江。
江神情一怔。
江:咦!小狗子!你跑到這兒來幹什麼?
小狗子期期艾艾地説明因由。
狗:爹!爺爺叫你囘去。
江不耐煩地向狗揮手。
江:知道了,知道了,你先囘去!
狗仍站莊門口未走。
江大怒。
江:咦!叫你先囘去啊!
狗仍未打算離去。
狗:爺爺要我跟你一道囘去嘛⋯⋯⋯
江大聲喝斥。
江:你!你想挨揍啊!?囘去———
狗不甘願的轉身走岀店門。
狗:(自言自語)囘去就囘去,那麼兇⋯⋯⋯
O.S江:等等!
江快步走至狗身旁。
江:(小聲地)你要敢跟爺爺説我在這兒⋯⋯看我揍不揍你。
狗:(嘟氣忍涙)知道啦!(轉身奔離)。
張老闆走至江身後,感嘆地望向離去的小狗子。
闆:唉!這孩子從小說死了娘,也真夠可燐的。
江:(愧疚無言地望着門外)⋯⋯⋯
第廿一場
景:村中街道
時:夜
人:江、孫
江獨自在街上走着。
有一雙神秘之脚在後跟踪。
江似有驚覺,遂住脚細聽。
那雙神秘之脚也立卽停在暗處。
江囘身察視一番,但不見動靜,方欲轉身繼續前行時,突然身後有人直呼其名。
O.S孫:江貴全。
江:啊!(囘身囘望)。
孫六從暗處緩緩走出。
江驚然楞視。
江:誰!誰!你是誰!
孫走至燈光處停身,將低壓的帽簷緩緩推上,露出臉上明顯的刀疤。
孫:還記得我嗎?
江看清來人,頓時大驚失色。
江:啊!刀疤孫六!
孫得意冷笑着逼近江。
孫:嘿嘿⋯⋯不錯,畢竞沒把老朋友給忘了。
江:你⋯⋯你來幹什麼?
孫:怎麼?不歡迎是嗎?
江:不不⋯⋯我只是感⋯感到意外⋯孫六!我已經洗手不幹了⋯
孫:(冷笑)嘿嘿⋯貴全啊!胡老大可是還惦記着你這位當年的老兄弟啊。
江:(驚懼)什麼!?胡老大也來了!(下意識地東張西望)。
孫:那倒沒有,不過,他隨時會來,而且一定會來。(冷笑)嘿嘿⋯⋯⋯
江:啊⋯⋯⋯(失魂落魄地呆望着孫六)。
第廿二場
景:山道溪邊
時:日
人:胡三寶、孫六、胡七、江、匪徒數名
胡三寳趴在溪邊牛飲一番後站起,從身旁胡七手中接過毛巾,在臉上亂擦一陣,並走至孫六身前。
胡:這小子到底會不會來?
孫:老大!你想他敢不來嗎?
胡:哼!諒他也沒這個種⋯⋯(突然聽到陣陣鼾聲,遂轉身向身旁地上望去)咦!
地上早已七横八豎地躺着敷名匪徒,狀似十分疫胭。鼾聲正是從胖子大炮嘴裏發出的。
胡一見狀就來火。立卽衝上前向大炮等亂踢一通。
胡:媽的!你們才走了多少路,全他奶奶的累趴下啦,還不都快給我滾起來。
衆匪徒不敢吭氣,立卽紛紛從地上跳起。
胡餘怒未消地將手上毛巾扔落地上。
胡:哼!越想越窩囊,都是那批王八旦偵緝隊,追得咱們跟兎子似的。
孫:(上前勸説)老大!大丈夫能伸能屈,只要咱們在漁村裏躱一段時間,等這陣子風頭過了再出來不就結了?
胡:你能擔保他們準不會找到這兒來?
孫:放心!偵緝隊絶料不到咱們居然還有膽子往囘走。何況姓江的老子是村長,咱們能控制村長,不就等於控制全村,那還怕會走露半點風聲嗎?
胡:(略一思考)好!這事你負責,當心,可別給我出差錯。
孫:嘿嘿,老大!萬一真要出了差錯,咱們只要往船上一跑,不就天下太平?
胡:(悟然而笑)嗯!嘿嘿⋯⋯⋯
O.S匪徒:老大
一名匪徒急速奔來禀報,另兩名匪徒則押着貴全隨後而至。
匪:老大!姓江的到了。
胡突然目光變得冷酷兇殘,向江逼視而來。
江頓時面色蒼白,全身抖顫不已。
胡不發一言,兩眼依然冷冷瞪視着江。
江不敢與對方目光接觸,而緩緩垂下頭去。
胡突然發出一陣狂笑,大步逼近江,並擧手拍了拍江的肩膀。
胡:(狂笑)哈哈⋯⋯好!好兄弟!你終於又囘到老哥哥身邊了啊,,哈哈⋯⋯
江:老大!我⋯⋯(欲言又止)。
胡:(略感不悦)嗯!?
孫立卽上前,並用眼色向江暗示。
孫:嘿嘿⋯老大!昨兒夜裏我已經把您的意思轉達給江老弟了,他呀,馬上就一口答應下來,嘿嘿⋯(用眼色示意江)江老弟!你説是不是?
江:(不得已)啊!是⋯是是⋯⋯
胡:(猛拍江肩膀)妤!這才叫做夠意思(大笑)哈哈⋯⋯
江一臉欲哭無涙地陪笑苦笑。
第廿三場
景:山崗及山道
時:日
人:鳳、發、江、胡、孫、炮、七、匪衆數名
高崗上一片蒼松翠綠,四週遠山圍繞,白雲悠悠。
鳳姑正雙手托腮,心事重重地坐在巨石頂上凝神沉思。
突然頭頂一片落葉緩緩飄入眼前。打斷鳳姑思緒,她順手拾起落葉,頓時有感而發地起身唱岀心中的紛亂及茫然。(插曲)
歌聲在山林之間迴蕩着。
山下溪邊洗衣的村姑們停下了工作,起身傾聽歌聲。
田中耕作的農人,也放下了鋤頭,抬首欣賞着。
崗下彎道上趕路的胡、江等人,也停住了脚步。
胡彷彿已入迷似地凝視着山崗,身旁的孫六方欲開口,却被胡摇手制止。
孫:老大⋯⋯
胡:(示意噤聲)噓⋯⋯⋯
山崗上的鳳姑:並不知衆人皆已沉醉在其美妙的歌聲之中,仍繼續忘情高歌着。
在她背後的小路上,又出現了順發,他初時充滿了喜悦之情,但當聽清楚歌詞中含意後,不由蹙起眉頭,因為他蹙覺到鳳姑似乎心目中還愛着另一個人,這怎不敎其深感迷惑。
鳳姑一曲唱完,心緒尚未平靜,神情依然如痴如夢地凝視着天邊。
順發稍作猶豫,遂輕聲呼喚鳳姑。
鳳姑恍似未覺。
發乃再度呼之。
鳳姑猛然驚覺,立卽轉身囘視,見是順發,神情一怔。
鳳:(略顯尷尬)咦!順發哥!
發關懷地走近鳳姑。
發:妳在想什麽?
鳳:(掩飾地)沒⋯沒想什麼呀!
發:不!我看得岀來,妳一定有什麼心事瞞着我。
鳳:(嬌急)哎呀!你這人怎麼這麼婆婆媽媽的嘛!?
發:鳳姑!難道妳還不了解我心裏 ⋯⋯
鳳:誰説我不了解!?
發:(驚喜)真的!?
鳳:(悄皮地)還煮的呢!哼!其實呀,你心裏想的還不是城裏那家的千金大小姐呢。
發:妳⋯⋯
鳳:你看,承認了吧?(得意笑着轉身奔離)。
發:這鬼丫頭!(追出)。
山道上的胡:望着山崗上嘻笑追逐的二人,臉上現出濃厚的妒意,身旁的江則羨慕地輕聲讚嘆着。
江:他們真是天生的一對⋯⋯
胡:他是誰?
江:鳳姑!
胡:我説的是那個男的。
江:哦!他叫周順發。
胡:周—順—發(發出陰森狠毒的冷笑)。
江見狀不由感到心驚膽寒。
第廿四場
景:李家外貌
時:黃昏
人:爹、鳳、發、胡、江、孫、七、炮、匪衆數名
鳳姑直往家門奔去,發在後急追。
發:鳳姑!鳳姑!妳等我嘛⋯⋯⋯
鳳衝入家門差點與爹撞個滿懷,爹不由神情似笑非笑地打量着二人。
鳳:(不依)爹—看什麼嘛!
爹:人家是丈母娘看女婿,我這是⋯⋯⋯
鳳:哎呀!爹——(不好意思推老爹)把老爹哈哈大笑)
鳳見發在一旁傻笑,不由羞急跺脚。
鳳:笑什麼?賊眉賊眼的最討厭了。
發:(寃枉)鳳姑我⋯⋯老爹⋯你説她講不講理!
爹:(故意)你叫我什麽?
發:老爹!我是説⋯⋯⋯
爹:(裝聾)誰呀?叫什麼?
發:(一怔恍然)我⋯⋯(看鳳)
爹:(對鳳)我是不是聽錯了!有人叫我什麼『泰山』來着!
鳳大懆,狠狠捶了老爹一下。
鳳:爹最討厭了!
鳳掩瞼奔去,爹大樂。
發:鳳姑!
老爹故意咳了兩聲阻止發追去,發不安焦懆的。
爹:小伙子!咱們爺倆該談點什麼了是吧?
發:(一怔)是!是!老爹!
爹:噯,慢點,慢點,我看咱們還是先從稱呼上談起,你説是不是?
發:(尷尬)這⋯⋯我⋯⋯
爹:(大笑)哈哈⋯⋯
鳳躱在街角望着這一對老少談着她的事,不由羞紅瞼的咬着衣角,突然被身後一聲乾咳嚇了一跳,急忙囘身而視。
原來是胡帶着手下,正似笑非笑地站在她身後,江則感到十分尷尬地向鳳姑打着招呼。
江:嘿嘿⋯⋯鳳姑⋯⋯⋯
鳳姑怒目瞪視着胡。
鳳:你這人幹什麼嘛?鬼頭鬼腦嚇人一跳!
胡不由露出白牙森然一笑。
胡:(自語)嗯!真標緻!
鳳:(插腰)喂!我警告你喲!
胡:我叫胡三寶!妳好好記住!不是什麽喂!
鳳:你!你們是幹什麼的?
胡:(略一思考)偵緝隊!
鳳:什麼真七隊,真八隊的,難聽死了!我看乾脆叫蒸雞腿算了。
胡一怔後不由大笑。
胡:哈哈⋯⋯好厲害的丫頭,嗯!有意思,我倒很喜歡妳。
鳳:呸!誰要你喜歡!自己去照照鏡子吧!
鳳扭頭便走,胡深意的看着。
第廿五場
景:江家廳院
時:日
人:胡、江、村長、孫、狗、七、炮、匪衆數名。
嘩啦一聲,高脚花架被一輛載着槍枝彈藥的手推車撞倒,架上的盆景立卽跌得粉碎。
正與胡站在廳門口談話的村長,聞聲急忙轉頭驚望。
院中呈現出一片零亂。
匪徒們有的在水缸旁舀水淋頭,然後隨手拉下曬在竹桿上的衣服擦拭濕髪。
有的坐在石磨上,蹺腿脱鞋揑着臭脚丫。
有的用小刀割下掛在屋簷下的臘腸,不管是生是熟,抓起就往嘴裏塞嚼。
一名匪徒從手推車上取出一支步槍,拉開板機上膛,並有意無意地對準村長瞄準一番後際卽擊發,結果,原來是支未裝子彈的空槍。
村長為之嚇了一跳,此時身旁的胡正向孫六高聲吩咐着。
胡:孫六!
孫:老⋯⋯(急忙改口)哦!隊長!
胡:先帶他們下去找房間安頓。
孫:是!
村:(驚愕地)這⋯⋯⋯
孫:(向院中)你們都跟我來!
院中的匪徒們立卽湧入廳内。
村長氣極敗壤地瞪了身旁的江一眼,江愧疚低頭不語。
村:胡隊長!(急忙走至胡身前)這⋯⋯這恐怕⋯⋯⋯
胡:(神氣地)江村長!立刻把村子裏主事的人全都招集起來,我有重要事情宣佈,(説完就大搖大擺逕自走入大廳)
村:(無奈地)是!(怒向江)你過來!
村長與江走至院中一角站定。
村:(氣極地)你説,你説,這到底是怎麽囘事?
江:爹!您不是叫我到縣城去報案的嗎?剛巧就遇上偵緝隊追剿土匪到了咱們村子外,所以胡隊長就跟着我囘來啦。
村:可是,這⋯這那像是偵緝隊,簡直就跟土匪一樣嘛?
江:(急作噤聲狀)噓⋯⋯爹,你小聲點。
村:(緊張向廳内張望)唉!這那是自己的家喔!(搖頭嘆息着走岀院門。
抱着小花狗躱在牆角暗處的小狗子,等江轉身走入大廳後,才現身溜出院門。
第廿六場
景:順財房内
時:夜
人:財、狗
顺財正蹲在房中整理捕蝦工具,準備外出捕蝦。
小狗子從外直奔而入。
狗:順財叔叔!
財遂放下手中工作,起身迎前垂詢。
財:咦!小狗子,什麼事啊?
狗:(緊張喘息着)順財叔叔,我們家來了好多人啊。
財:哦!是些什麼人啊?
狗:我也不認識,是爹帶回來的。
財:那一定很熱鬧嘍?
狗:可是,這些人很兇,好像都是壞人呢?
財:噯!小孩子不可以亂説話。
狗:是真的嘛,爺爺還很生氣的罵了爹幾句。
財:好了!我們不談這些,走,我帶你抓蝦去。
狗:(興奮地)好哇,我最喜歡跟叔叔抓蝦了。
財:那就走吧!(提着蝦簍及網具與狗一同出房而去)
第廿七場
景:溪邊
時:夜
人:發、財、鳳、狗、其他衆村民
溪洲之閒,蘆葦深處,沿着小溪岸邊一線,到處皆是點點蝦燈,昏黃明滅,煞是好看。
村民們不分男女老少,皆高捲褲腿地站在溪中,一手提燈一手執網地在水中捕蝦,不時處處響起收獲的歡呼聲。
鳳姑也沿着岸邊用網具捕蝦,網了半天好不容易才捕獲一隻大蝦,立卽興奮囘頭,欲向身旁不遠處的順發眩耀一番。
却見發正全神貫注地低頭網蝦。
鳳頓時興奮起捉挾的意念,遂悄悄走至發的背後。
鳳突然雙手用力推發,發立卽一頭栽進水中。
鳳樂得哈哈大笑,並轉身就跑。
發從水中掙扎站起,氣極敗壞地望着鳳。
發:好啊!妳這丫頭,看我不收拾妳!(拔足追去)
鳳隱身藏入蘆草中,掩口笑着緩緩向後退移着。
發早已繞至鳳姑身後方守侯,待鳳移近時才突然現身一把將其捉住。
發:看妳還往那兒逃!
鳳急忙掙扎擺脱,二人嘻笑着在蘆草中追逐。
發:妳跑,妳跑!
鳳:你追呀!你才追不到呢!
鳳轉身欲跑,却不小心絆倒跌落水中。
發驚呼急衝上前。
發:(驚叫)鳳姑!
發一把拉起姑。鳳不依的擂打着發。
鳳:都是你害旳,都是你害的!
鳳猛抬頭却發現發異樣的看着她,兩人皆濕淋林地,鳳不由顫慄的望着發。
發深情的逐漸俯下身欲吻鳳。
鳳被對方熱情所染,已緩緩閉上雙眼,正當其意亂情迷之際,突然被一陣清晰的划水聲驚醒,遂急忙偏頭望向蘆草外的水面上。
水面上財和狗正划着竹筏沿途收起水中蝦簍而過。
鳳姑驚然猛力將發推開。
發:(驚訪)鳳姑!
鳳:不!我不喜歡,不要這樣!
發:鳳姑!鳳姑!
姑匆忙站起掉頭飛奔,發心中突然升起莫明妒火。
發:鳳姑⋯⋯⋯他是誰?(憤怒地)
鳳一怔不由站住迷惘的不知説什麼是好。
發:吿訴我?鳳姑!是不是有別人?
鳳不由看了看遠處的財連自己都不清楚的。
鳳:我不知道!(掉頭奔去)。
發不由跟着鳳的視線看到了財。
發:不!不可能!這不可能!
第廿八場
景:大江邊
時:
人:鳳、發、財、妞、江、胡、孫、七、炮、木、群衆
大江邊奔騰的群衆,鑼鼓喧天,順發登上了岸邊的高台英姿挺拔頭上紮了紅巾輕輕試了下高台大鼓的音色。
群:(驚騰高叫)龍王——
發得意一笑看了看另一座高台大鼓上的得根黑中打扮。
根揚了揚臂力示威性的挑戟:陸續的鼓手登上了高台。
那一隊隊紅、黃、藍、白、黑的船員蹲在一艘艘岸上的龍船邊手扶龍船起步待發。順財在紅隊划手之一。
在那河對岸划着繽紛的小船送着花朶船的女孩登上了河中的浮台,鳳姑儀態萬千的上了浮台。
衆:花魁——(吼着,口哨叫囂)°
河邊的岸上一人抱着小鼓雙手伸高衆人刹那間平息了騷動,台上的龍王鼓手們緊張屛息的看着小鼓!
臉上依然裏着綢帶的木頭也擠雜在人羣中,屏息觀望着。
衆人皆在屏息,期待沈寂着。
胡帶着屬下穿過人潮擠向了岸邊第一眼就看到了鳳姑。
小鼓手像飛鳥展翅地雙手上揚兩次邊速的擊在鼓邊上。
各隊的划手像拼了命船的擧船衝向河中再跳上船在紅隊是第一個全部到齊立刻擧漿。
發毫不遲疑的擂出第一聲,那紅隊立刻下漿入水,發緩慢的擂鼓,紅隊依着鼓聲整齊劃一的開始動作。
別的高台也響起了鼓聲。
發是越擂越快紅隊搶先奔出;鼓聲成單音雙音,全是支配船行的方向和速度。
黑隊突然間當前趕上那黃、藍、白也不示弱的鬧個平行。
鼓聲震天此時誰也分不清誰是誰的鼓主,可是這就有了花俏,那順發的鼓音是一下中帶着邊鼓的碎點。
立刻間各隊的鼓音也有了各隊的花俏絶不會亂。
這五隊人馬拼個你死我活誰都奮力爭先一時出了不分上下的局面。
衆人聲嘶竭力地爲各隊人馬喊叫助威,木頭也在爲發財兄弟摇旗喊呐。
只見那鳳姑突然間打了個手勢,發立刻停鼓衆人一怔發在邊鼓上密集的打上碎點子,姑唱了起來,發改碎黏而擂起全音,立刻是凌駕所有鼓主之上。(插曲)
別台的花魁也唱了起來却蓋不住姑的一切。
胡吃驚的看着姑那姿容那神態一次又一次的刻在胡的心上—而鳳却深刻的看着財為她加油着。
最高潮了搶花魁,鳳更加賣力的擧起綵球來只見那紅隊一馬當先到達台邊,發敲出一個雙音那龍舟是立刻煞住,發來囘車輪船滾動者鼓槌,那龍舟360度的大迴旋,舵手站起拿住了姑的球高擧衆歡呼。
要搶岸了那更是使出了絶活!紅隊終於奪得龍王賽頭彩。
群衆們興奮的高擧起汗水淋漓的發吶喊着。
衆:龍王!龍王!
木頭也忘了傷痛,高擧得又跳又叫,但他在無意間向一側瞥了一眼,却突然有所發現。
原來所發現的却是不遠處的胡等一千匪衆。
木霎時震驚得呆若木雞。
此時五彩繽紛的花船已接囘了鳳姑。
可是鳳却對着人群中疲憊的財招着手。
財看着發的高高在上笑了笑憤然的走出。
鳳高擧着手向財揮動,但財却未曾發覺,而獲自孤寂地離開喧鬧歡愉的羣衆。
發在高處無限歡欣中,看到鳳姑神色有異,遂順着其視線尋去,結果所見的竟是行中的財。
胡也順着鳳的視線,向財望去。
此時正在人羣中倉惶奔逃的木頭,却巧與財擦肩而過。
財感到意外,遂急忙一把將木頭拉住。
財:咦!木頭,你怎麼啦?
木:(驚恐掙扎)啊!放開我,快放開我⋯⋯⋯
胡、孫等發現木頭,頓感一怔。
孫:老大!那小子⋯⋯⋯
胡:糟了!就是那天的漏網之魚,快追!(率衆撥開人羣向木急奔而去)。
木掙脱財,立卽轉身奔逃,但他掛在頸上的一條金項鍊却斷落在地上,財拾起後焦急追喊。
財:木頭!等等!你的東西⋯⋯木頭!(焦急)
胡帶着手下氣勢兇湧地急追着,羣衆們被衝撞得人仰馬翻。
鳳姑見狀心感訝異,遂跟踪查看究竟,但人羣湧擠,行動困難。
第廿九場
景:密林
時:日
人:財、發、鳳、胡、孫、江、七、炮、木、匪徒數名、村長、村民數十名
木在林中踉蹌奔逃。
財揮着手上項鍊在後追喊。
財:木頭!木頭⋯⋯⋯
木不小心被樹根絆倒,跌滾地上呼痛呷吟。
財終於追上,急忙將其扶起。
財:木頭,木頭⋯⋯
木:(惶恐嘶喊)放開我!放開我——
財:木頭!你冷靜一下,是我,順財呀!
木:(漸漸恢復意識)啊!順財哥!村長呢?我要找村長。
財:找村長!?到底發生什麼事?
木:有土匪!有土匪!
財:(大驚)土匪!?土匪在那兒?
木:在⋯⋯(突然身體一震,兩眼驚恐地瞪着財)。
財莫明其妙地看着木。
不料木竟緩緩向前,倒入木的懷襄。
財急忙將木抱住,才發覺其背後已插着一柄飛刀,財一聲驚叫,惶然鬆手跌坐地上。
密林深處的孫六,正得意地玩弄着手上飛刀,冷笑逼近而來。
財轉身欲逃。
來路上早被胡及其手下截斷,且彼等也已散開,從四面包抄過來。
財驚恐絶望,不知所措地望着衆匪緩緩後退,但頸後却被孫六的刀尖抵住,無法動彈。
胡臉上現出兇殘冷酷的表情,一步一步逼近至財身前。
財惶恣顫抖地望着胡。
胡從懷裏掏出手槍。
一旁的江見狀焦急,急忙上前替財求情。
江:老大!順財是個老實人,他絶對不敢説出去的,你⋯⋯你就饒了了他吧⋯⋯
胡根本看都不看江,猛一揮掌,將江打得翻滾倒地,並繼續擧起手槍,向財的眉心逼去。
財驚恐欲絶地張着大嘴,本能的將頭後移。
財頸後已被刀尖刺破皮肉,鮮血立卽流下。
胡瞼上的笑意更濃更冷。
財張着嘴,發出無聲的哀泣。
胡扣着手槍板機的食指,正緩緩運力下一壓。
財額頭佈滿汗珠,呼吸也越來越急促,兩眼瞪得幾乎裂地瞪着手槍板機。
突然扳機壓下,手槍立卽發出一聲清脆的空槍擊發時的撞針卡簧聲。
OS鳳姑的尖叫聲同時突然響起。
鳳姑瘋狂地從林中奔出。
財已頹然跌坐地上,全身劇烈顫抖不已。
鳳猛力推開孫,急撲至財身旁將其緊緊抱住。
鳳:(哭喊)順財哥!順財哥!
順財突然暴出歇斯的里的悲號,鳳焦急淚流地將其抱停更緊。
財:(哭叫)大哥!大哥!快來救我!快來救我⋯⋯⋯
鳳:順財哥!不要怕,不要怕!(怒目轉向胡)你們都是瘋子啊,為什要欺負他,為什麽!?他從不傷害別人,你們為什麼要狠心傷害他!?
財:(神精質地)求求你們,求求你們,饒了我吧,我給你們磕頭,我給你們磕頭(跪地連連磕頭)。
鳳:(急忙哭叫拉阻)順財哥,不要這樣子,不要這樣子!
胡冷眼望着二人,臉上充滿妒恨之色,身旁的孫已漸感不耐。
孫:老大!剛才為什麽不乾脆斃了他。
胡:(自言自語)我不懂,我真不懂,她到底喜歡他那一點?
孫越看越火,遂衝前一脚將跪着的財踢得仰翻滾地,並擧刀順勢刺下。
鳳姑見狀急忙奮力抱住孫腿。
孫怒一脚踢開鳳,繼續衝前抓起財的衣領,正欲一刀刺下。
鳳姑奮不願身,再度撲囘抱住孫的手臂糾纏不休。
鳳:我求求你,不要殺他,不要殺他⋯⋯⋯
孫連連揮臂,皆未能將鳳甩脱,不由怒極。
孫:媽的!妳再不放手,老子就連妳一塊宰了。
鳳仍然死命抱住孫臂不放。
鳳;好!你殺我吧!只求你不要再傷害他。
孫:媽的!(用力甩臂)。
孫將刀換交另一手,並快速向財刺去。
鳳情急之下,慌忙用手抓住刀仞;,結果割破掌心,鮮血從指縫間流出,但其手却仍然緊抓刀仞不枚。
孫不由怔住,動作因而停頓。
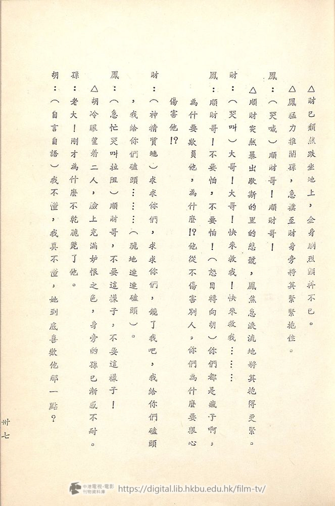
OS材:(大吼)住手———
村長帶着大批村民匆匆趕到,順發也在其中。
發:鳳姑!(急步走至鳳身前)。
鳳並未理會,却反奔至仍然顫抖不已的財身旁,將其扶靠懷中。
鳳:順財哥!不要怕,我在這兒,誰也不敢再欺負你⋯⋯⋯
發見狀怔住,神情頓然變得痛苦難堪至極。
江見父怒容瞪視着自己,只好硬着頭皮上前招呼。
江:爹!
村:(掌打了江一耳光)畜牲!(又轉向胡)胡隊長!你們這是幹什麼!?
胡擺出一付不可一世的姿態,傲然瞪視着村長。
胡:哼!躺在地上死掉的那個,正是我們要追捕的匪徒。
村:胡説!木頭是個生意人,經常到我們村子裏賣針線花粉,大夥全部認識他,你憑什麽説他是匪徒?
胡:(走至屍體旁拾起地上的金項錬)就憑這個!
村長及村民們全弄不清怎麼囘事。
胡得意地將金錬收入懷裏。
胡:這是贓物!各位還有什麽疑問沒有!
村:(猶豫一陣)那⋯⋯那這跟順財有什麽關連?
胡:他協助匪徒公然拒捕,有串謀通匪的嫌疑。
鳳姑聞言大怒。
鳳:(喝斥)你少胡説!
胡轉頭怒視鳳,村長急忙代為解説。
村:胡隊長,順財一向勤奮老實,很少離開村子,他絶不能跟土匪有任何牽連。
胡:你能擔保!?
村:能!不單是我,相信全村子的人,都能替他保證。
胡:(故作思考狀)嗯⋯⋯(然後緩緩走至鳳姑身前)。
鳳毫不畏懼地怒視着胡。
胡不懷好意地連連冷笑。
胡:丫頭!我答應饒了他,不過,這可是衝着妳的面子啊,哈哈⋯⋯⋯⋯
(轉身率衆離去)
財仍然細聲喃喃自語。
財:大哥!快來救我,快來救我⋯⋯⋯
鳳:(緊緊抱住財)別怕,我會保護你,可憐的順財哥,我永遠都不會離開的,順財哥⋯⋯⋯
默默站在一旁的發,黯然悄悄離去。
第卅場
景:順財房内
時:夜
人:鳳、財、發、母、萬老先生
大夫萬老先生為昏迷躺在床上的財把完脈後,遂緩緩站起身來,一旁的周母立卽迎上前去。
母:(關切地)萬老先生,你看這孩子⋯⋯⋯
萬:不要緊,受了點驚嚇,吃兩服葯,休息休息就會好的(説着往房外走去)。
母:(跟在萬後)哦!那說好了,謝謝您啊!
留在床邊的發,待二人走房後,遂默默低頭為財蓋好被子。
財在昏迷中發出囈語。
財:大哥!大哥!快來救我,快來救我⋯⋯⋯
發臉上現出又憐愛又怨恨的複離痛苦表情。
發:(輕喚)弟弟⋯⋯(起身背轉臉去擦拭眼淚)。
OS鳳:(壓低聲音)順發哥!
鳳出現在窗外。
發神情瞬息數變,最後才勉强壓抑住激動的情绪。
發:(冷冷地)妳放心吧!他會平安無事的。
鳳愧然垂下頭。
鳳:順發哥!我⋯⋯⋯
發:(痛苦地)什麼都不用說,我都明白了。
鳳:不,你不明白,我自己也是在那一刹那之間才發覺的,原來,他早已經是我生命的一部份,我沒有辦法再選擇,我⋯⋯⋯
發:(怒吼)不要説了!
鳳一怔,無言望着發。
發心情矛盾至極,片刻後才稍微壓抑住激動的情绪。
發:我要出去想想,我要一個人好好去想一想!(説着已緩緩走出房去)。
鳳望着發遠去的身影,臉上也現出愧疚和痛苦的表情。
鳳:(喃喃自語)順發哥!原諒我⋯⋯⋯
第卅一場
景:漁港碉頭
時:日
人:爹、根、牛、生、胡、江、孫、七、炮、匪衆數名、漁民數十名
漁港入口處一群漁民亂哄哄的圍着一塊佈告牌,牌上寫着漁港暫時封閉,漁民如非經特許和自出海捕魚十,一律嚴加處分。
圍觀的漁民們見牌憤怒喧嘩着。
根:放狗屁,這玩意是誰貼的?
生:縣城裏還管咱們打漁的事,這不是胡鬧嘛?
牛:(問爹)老爹!您看怎麽説?
爹:沒這個道理啊!我們進去看看。
爹領頭帶着衆漁民進入碼頭。
碼頭內胡坐在一個綁船繩的石墩上,孫、江二人站立身後,其餘匪衆則個個執槍,殺氣騰騰地監視着衆漁民。
衆漁民走至某一距離後卽站定不敢再前進。
爹:你們這什麼意思,不准我們打漁,大夥吃什麼?
衆:對對⋯⋯⋯
胡輕視地把玩着手槍。
胡:(冷笑)很簡單?不打漁就不要吃漁嘛!
衆人聞言立起騷動,根血氣方剛遂挺身而出。
根:開什麼玩笑!(向漁船走去)。
砰的一聲巨響,胡的槍口冒出一陣青煙。
根中彈倒地。
江神情一怔,驚望胡。
胡望着衆人冷笑。
胡:這像開玩笑嗎?
衆人大嘩,牛憤怒衝出。
牛:你們還有王法沒有,老子跟你們拼了!(衝向匪)
又是一聲槍響,牛也頹然倒地。
胡將手上的槍擧起愰了愰。
胡:槍子就是王法,有誰還想試試?
衆人被鎮嚇住,個個敢怒不敢言,生想衝動上前,却被爹一把拉住。
站在胡身後的江再也忍不往而憤然上前。
江:老大!你為什麽要這麼做?
胡猛囘頭一巴掌打在江臉上。
胡:我還要向你報告!?(大聲吼)滾囘去!
江捂着瞼,憤怒地看了胡一眼,遂低頭走向漁民。
衆漁民個個鄙視着走過身前的江,其中有人竟向其吐口水。
孫高聲向衆人吼着。
孫:你們還站在這兒幹什麼!?快回去!
衆人不甘願地緩緩向碼頭外散離。
第卅二場
景:周家大廳
時:日
人:發、財、母
發坐在廳中一杯接一杯地喝着悶酒,母在一旁勸着。
母:你就少喝點吧,會傷身子的。
發:娘!不要頰我!讓我一個人靜靜,(擧杯猛一口喝乾)。
母:這孩子!你到底是怎麼啦?(望着發繼續一杯杯的猛喝痛心萬分)唉!你看看你們一個病了,一個瘋了,叫娘怎麼安得了心呢⋯⋯⋯(哭泣)
發抓起酒壺正要再往杯裏倒時,却突然被人將壺按住,仔細一看,原來是被着衣衫病容滿面的財。
財:大哥!少喝點吧!
發猛然拍桌跳起。
發:(怒吼)你憑什麽管我——
財:(一怔)大哥!
發:(恕吼)不要叫我大哥!哼!你現在得意了吧?平日倒裝得一付老實相,其負你比誰都卑鄙——
財:不!你一定是誤會了,你聽我説⋯⋯⋯
發:我不要聽你説!有好聽的去跟鳳姑説去,我恨你!我恨你——
(踉蹌着奔出大廳)。
財:大哥!大哥!
母追至門邊,但未能及時攔阻發。
母:順發!順發!(氣得跺脚)又是鳳姑,又是鳳姑,真是太不像話了!(又喊着追出廳外)順發!順發!
財望着門外,表情十分痛苦。
第卅三場
景:江家大廳
時:日
人:胡、江、孫、村長、七、炮、小狗子、鄉紳甲、乙、丙、匪衆若干
村長和鄉紳們噤若寒蟬地看看胡來囘走着。
村:隊長!這筆數目,實在是太大了,一時我們恐怕湊不出來。
胡:(停身轉向村)錢並不多,才兩萬塊大洋而已,又不是我要的,是縣城裏催得緊嘛。
甲:那您看我們可不可以派人到縣城裏打通下關節?
胡:混蛋!你是跟我過不去是不是!?
乙:不,不,您別生氣,實在是這筆錢我們一時拿不出來⋯⋯⋯
胡:那就繼續封鎖漁港,等什麼時候把這兩件事都辦成了,咱們再説吧。
村:隊長!這錢的事,我們可以盡量想辦法,可是,您硬要娶鳳姑的這樁事,豈不是太覇道了嗎?
胡:霸道!(冷笑)我是爲了徵求她的同意,才叫你們去説親啊!
丙:可是!這村子裏所有人都知道,她是已經有了對象的。
胡:對象算什麼!?只要她沒嫁,你們就得替我辦成它!
躱在窗外偷聽的小狗子,急忙溜出家門。
第卅四場
景:周家外貌
時:日
人:財、狗、發
財提着捕蝦網具走出家門,狗正巧匆匆奔來。
狗:(喘急地)順財叔叔!不好了,不好了!
財:什麼事?小狗子!
狗:他⋯⋯他們要⋯⋯要搶走鳳姑姑。
財:(大驚)誰?他們是誰?
狗:就是我們家的壞人啦。
財:啊⋯⋯⋯
狗:順財叔叔!你快點嘛,快帶鳳姑姑逃走呀!
財:(心亂如麻)小狗子,你先囘去。
狗:不!我要你現在就去找鳳姑姑。
財:好!你囘家,我會去的。
狗:一定要去啊?
財:一定去?
狗見財答應,才放心奔向歸途。
財轉身欲將網具放囘家中,但想想却又住脚猶豫起來。
財:(喃喃自語)不!我不能去,我不能再讓大哥誤會我,可是⋯⋯(矛盾焦急地在門口來囘走着)
發喝得醉地從外囘來。
財見狀急忙上前攙扶。
財:大哥!
發:(揮手推開財)滾開!
財:大哥!鳳姑現在的處境很危險,你快帶她去避一避吧。
發:鳳姑?(悲笑)嘿嘿⋯⋯鳳姑是你的,為什麼你不帶他走,你們走得越遠越好,哈哈⋯⋯(瘋笑着踉蹌走入家門)
財:大哥⋯⋯(痛苦地低頭提着網具默默離去)
第卅五場
景:李家客廳
時:夜
人:鳳、爹、村長
砰的一聲,爹拍桌憤而站起,面對村長怒吼着。
爹:他做夢!
村:老爹!我看你就讓順發趕快帶着鳳姑走吧,不然他是不會死心的。
爹:哼!我就不信他們敢來搶?
村:唉!老爹!他們連人都敢殺,還不敢搶嗎?
爹:(固執地)要殺就叫他們來殺吧,要娶鳳姑,辦不到!
姑:(驚恐)爹!
爹:妳放心好了,你和順發的事,爹會替你做主。
姑:不!爹!不是順發!
爹:(一怔)咦?鳳姑!妳説什麼?
姑:我⋯⋯我説的是順財——(掉頭飛奔出門)
爹:(驚惑)啊⋯⋯鳳姑!鳳姑——
第卅六場
景:周家大廳内外
時:夜
人:發、鳳、母
周母將水盆裏的毛巾乾後,輕輕貼在醉酒躺着的順發額頭上。
母:唉!喝成這個樣子,真是作孽啊!
OS鳳姑:(聲音由遠漸近)順財哥!順財哥⋯⋯⋯
鳳姑急匆匆地奔至周家門外,見周母含怒從內走出,不由怯生生地停住腳步。
鳳:大嬸!我找順財哥!
母:(厭惡地)不在!
鳳:那他⋯⋯⋯
發從躺椅上掙扎着站起,搖搖晃晃地走至門邊,由門缝間向外窺視。
OS母:我跟妳説過不在了,我也不太歡迎妳來找他,妳聽懂我的意思吧?
鳳委屈低頭緩緩轉身走了幾步後,突然放脚狂奔而去。
躱在門後的發瞼上現出痛苦之色。
第卅七場
景:溪邊
時;夜
人:鳳、財、發
鳳獨自在河堤上奔跑着。
她一口氣奔至河堤的盡頭才停脚向溪下望去。
溪中一艘掛着蝦燈的小竹筏,財正蹲在筏上低頭網蝦。
鳳姑欣喜呼叫着奔下河堤。
鳳:順財哥——順財哥——
竹筏上的順財一怔,驚然抬頭向岸上望去。
鳳已奔至溪邊,但與竹筏間有一水之隔,故只得站在岸邊叫喊着。
鳳:順財哥——快划過來,我有話跟你説!
財方欲撑篙將筏子划向岸,但想想又猶豫不決。
財:鳳姑!我大哥這幾天老是喝酒,你快去勸勸他。
鳳:胡三寶已經派人到我家求親了,我來問問你的意思。
財:我?我那有什麼意思,妳該去問問大哥才是。
鳳:順財哥!我在問你啊!
財:不!>
第一場
景:海上
時:晨
人:老爹、春、根、生、牛、福、衆漁民。
金紅色的太陽從海平面上升起。(主題音樂聲起)
十餘艘小漁船,在銀光閃礫的海面上散浮着。(片頭字幕)
船頭衝破浪濤,激起水花四濺。
身體健壯的漁民撒下巨網。
長串的巨網,隨着船身前行而拖延着,漸漸圍成一道弧形網牆。
站在船首瞭望架上的小伙子,頻頻向鄰船彼此高聲呼應着。駕駛艙內,手握着舵盤的老爹,隨着小伙子的手勢轉動輪盤。
兩名漁民開始轉動收網絞盤。
牽連漁網的粗繩在滑輪上滑動。
數名漁民合力將網拉起。
巨網離水,網中滿是活蹦亂跳的魚群。
魚群倒入船艙。
衆人臉上洋溢着典奮之情。
駕駛艙内的老爹摇響着掛在窗前的銅鐘。
鄰船也紛紛響起鐘聲,霎時彼起彼落。(字幕完)
第二場
景:沙灘
時:日
人:小狗子
海浪衝上沙灘,漫過一雙小孩的光脚背之後,又迅速退冋海中,但却留下無數白濁泡沫,和一顆色澤鮮明的小殼。
小狗子彎涙拾起貝殼,細看一陣,隨卽將身奔離。
小狗子奔跑遠去,漫長的沙灘,留下一行清晰的脚印。
第三場
景:周家外貌連村中街道
時:日
人:小狗子、周母、江村長、鄰婦甲、乙、丙其他衆鄰、路人
小狗子光着脚丫,在村中街道上奔跑着。
周家大門外圍着眾多鄰婦,大家正在向滿春風的周母道賀。
衆婦:大嬸!恭喜,恭喜!妳們家老大要囘來啦。
周母:謝謝,謝謝⋯⋯⋯⋯
小狗子奔來,突然住脚,並閃身躱在一側窺視。
衆婦七嘴八舌地圍着周母。
婦甲:周大嬸,您真是好福氣,老二又勤快又老實,老大更不得了,現在連大學都已經畢業啦。
周母:那裏,那裏,這還不都是靠祖先的保佑。
鄰乙:説真的,將來真不知道,誰家姑娘有前世修來的福,才能當你們家媳婦。
鄰丙:噯,這妳就別操心了,咱們村子裏誰不知道,李家鳳姑娘和大嬸家老大,是天生的一對啊,哈哈⋯⋯⋯⋯
衆婦:對對⋯⋯⋯哈哈⋯⋯⋯
躱在牆角的小狗子,神色有點不以為然的樣子,當其方欲轉身離去之際,突然被人叫住。
O.S.村長:小狗子!
江村長正向小狗子走來。
狗子:啊!爺爺⋯⋯⋯
村長:小狗子!見到你爹沒有?
狗子:沒⋯⋯⋯沒有哇!
村長:哼!又不知道躲到那兒去賭去了。
周母與衆婦發現村長,立卽上前招呼。
衆婦:村長!
周母:村長!快請屋裏坐。
村長:不客氣了,我是順路過來看看,哦,周大嬸,聽説順發快囘來啦?
周母:可不是嘛,前兩天我才叫他弟弟去城裏接他呢:説是令天就能到家了。
村長:哦!那真是恭喜您啦。
周母:那裏!謝謝,謝謝⋯⋯⋯⋯
一旁的小狗子乘機溜走。
第四場
景:李家外貌
時:日
人:狗、鳳姑、妞、梅、秋、喜、夏、衆村姑
小狗子從掛曬的漁網下鑽過,向李家直奔而來。
當他奔至李家大門外時,頓時住脚楞視。
鳳姑正被一羣打扮得花枝招展的村姑們,前呼後擁地從屋内推出。
梅:快點,快點,我的大小姐!
鳳:好嘛,好嘛,人家頭還沒梳好呢?催什麼!?
喜:哎喲,妳已經打扮了一個上午,還嫌不好哇?
夏:咦,這叫女為悅己者容啊。
鳳:妳⋯⋯⋯
秋:好了,好了,鳳姑!再不走,周家老大可就快到村子啦。
鳳:哼!到了就到了,管我什麽事?
妞:嘿!這可是妳説的,到時候,可別怪我們把妳心上人搶走嘍!
衆:(笑)哈哈⋯⋯⋯
鳳:(羞急)死火妞!妳⋯⋯(正欲追打,却發現小狗子)咦!小狗子!
小狗子滿懷心事地望着鳳姑。
鳳姑感到訝異,急忙走至小狗子身前關心垂詢。
鳳:怎麽啦?小狗子!
狗:(將懐中貝殼取岀)鳳姑姑,妳看我撿的這個貝殻好不好看?
鳳:嗯!好看,好看極了!
狗:要是妳不去接順發叔叔,我就送給妳。
鳳:(一怔)這⋯⋯⋯
衆村姑已等得不耐頫。
梅:好啦,好啦,小狗子,今天妳鳳姑姑有事,改天再來找她玩,乖!
小狗子不語,兩眼依然期待地望着鳳姑。
鳳姑正疑惑不解地楞視着小狗子,身旁的衆村姑已將她推離家門而去。
妞:走,我們快走吧!
李家門前只剩下小狗子,孤獨的望着已去衆人背影,突然憤而將手中貝殼摔落地上。
狗:鳳姑姑是傻瓜——(轉身奔離)。
第五場
景:海上
時:日
人:老爹、春、根、生、牛、福、衆漁民
船首破浪而進。
老爹將掌號工作交給得根,取出旱煙點燃後走出駕駛艙。
阿福迎面走來。
福:我説老爹啊,準女婿馬上就要囘來了,您也該休閒休閒,享享清福啦。
爹:(裝糊塗)啊,誰呀,你説誰囘來啦?
甲板上的<人哄然大笑。
春:嘿嘿,你瞧,老爹裝得還真像啊,哈哈⋯⋯⋯
生:對了,老爹!什麽時候,請我們喝喜酒啊?
爹:(裝糊塗)咦?我説過要喝酒嗎?
牛:哈哈⋯⋯又來了,我説這老爹,硬是刀槍不入吧。
衆人又是一陣哄笑。
駕駛艙内的得根,也從内伸出頭來打趣着。
根:老爹,今年龍王賽,誰要是搶了個頭彩,您的話還算不算數啊?
福:得啦,就憑你能搶得了龍王賽頭彩啊?別説是順發了,連跟我比,你還差一大截呢。
根:去你的!
衆人大笑。
爹:算數,我的話當然算數,誰要搶得了頭彩,我啊⋯⋯⋯
衆:(齊聲)怎麽樣?
爹:我就睜個眼閉個眼,讓他去問問丫頭的意思。
衆人聞言洩氣地唉聲嘆氣。
根:啊!還要問鳳丫頭⋯⋯⋯唉唷⋯⋯⋯
春:唉!薑還是老的辣,我説得根!死心了吧!還是回去對王小寡婦多下點勁。
根:去你的!
衆人再度哄然大笑。
第六塲
景:河谷
時:日
人:順發、順財、船佚、木頭、梅子、旅客數名
兩岸山壁陡峭的河谷中,一艘擺渡正緩緩向對岸划行。
船伕輕摇着船橹,坐在船首的順發,歸心似箭地遥望着對岸青山,臉上洋溢出興奮之情,弟弟順財則小心翼翼地抱着行裹,蹲在其身後。
發:(感嘆地)唉!過得真快,又是一整年了。
財:大哥,龍王賽又快到了,老爹和大家天天都在盼望你早點囘來呢?
發:那當然,我是他們的主將嘛,哦,對了,鳳丫頭還好吧?
財:(神色微怔)還不是老樣子。
發:(一笑)嘿嘿⋯⋯提起這丫頭我心裏就害怕,你還記不記得,我第一年從學校囘來,就被她們在半途上潑得一身濕,第二年又挖了陷阱,害我掉進爛泥坑裏,去年啊,嘿,真不知道,她們又從那兒弄來一群山豬,追得我滿山亂跑。
財:我想今年大概不會了,鳳姑也長大了嘛。
發:噯!難説得很,你愈想不到的事,這丫頭愈能做得出來,尤其今年我又畢了業,嘿嘿⋯⋯我看八成她會把我活埋了。
財:那⋯⋯那怎麽辦呢?(緊張地抬頭向對岸山頭張望)。
山頭上的梅子探頭望見河谷中的小船,不由得意轉身消失在樹石後。
小船靠岸,兄弟二人踏上岸邊,正巧遇見賣針線花粉的小販木頭,於是彼此客氣地招呼着。
木頭:噢!順發哥,您可囘來啦。
順發:木頭,好久不見,生意好嗎?
木頭:托福,托福,馬馬虎虎啦,嘿嘿⋯⋯哦,不躭誤你囘家,改天見。
順發:好,改天還要跟你買點胭脂花粉呢。
木頭:嘿嘿,你不説我也知道,準又是送給鳳姑娘的是吧,哈哈…⋯⋯(轉身向渡船走去)。
第七場
景:林蔭山道
時:日
人:財、發、夏、秋、妞、衆村姑
兄弟二人戰戰競競地走在林蔭山道上。
財:大哥!我看咱們還是多繞點路,走山脚下吧。
發:是福不是禍,是禍躱不過,反正已經來了,就看看她們又想出什麼鬼點子。
二人繼續惶惶前行,却發現前面路舖滿了五彩繽紛的花瓣,不由怔然住脚。
二人方感訝異,突然聽見路旁林中傳來一聲輕笑,遂立卽轉頭望去。
赫然發現大妞站在路中,似笑非笑地望着二人。
二人本能地向四週尋視一番,却不見其他芳踪。
發:(嚥口水)就⋯⋯就妳一個⋯⋯⋯
大妞不由掩嘴一笑,並提着根雞毛揮子奔上前來。撣妞:怎麼,嫌少啦?
發嚇得急忙用手抱頭,豈知大妞只是幫他把全身上下的灰塵撣了個乾淨,發見狀楞住。
妞撣完又笑看向一旁的財望去,財心驚肉跳地退後一步。
妞:你啊!免了吧!(掉頭奔去)
發:大妞!這⋯⋯這是怎麼囘事?
財:大哥!我看一定有陰謀。
二人四目對視,不得其解。
突然兩旁林中又笑着衝出夏、秋及一群村姑,將發圍住。
發嚇得臉色大變,雙手已被衆女拉住不能動彈。
數名村姑不由分説的,將一串串花環分別套在發的脖子上。
發:這幹什麽,妳⋯⋯妳們這是幹什麼?⋯⋯⋯
其中一名村姑,將整瓶的香料全倒在發的身上。
發:哎呀!香死了⋯⋯我的天,妳把整瓶香粉全倒在我身上了⋯⋯
夏領頭,眾女拉着順發往林中行去。
發:哎哎⋯妳們倒底想幹什麼,先説給我聽,哎⋯這樣拉拉扯扯多不好⋯⋯哎⋯順財!順財⋯⋯
順財在一旁急得不知所措。
財:大哥!大哥⋯⋯妳們⋯⋯
秋:(兇巴巴囘頭瞪視財)急什麼,我們又不會吃了他。
財:(呆住)啊⋯⋯
第八場
景:林中空地
時:日
人:發、財、鳳、梅、喜、妞、夏、秋、衆村姑
發被衆女硬拉着、推着帶入林中。
發:哎哎⋯⋯我怕妳們了好不好,倒底要把我帶到那兒去嘛⋯⋯
林中空地上,早已圍着另一堆村姑們,她們緊緊地靠在一起,似乎有意不讓別人看到圈內所圍的是什麼東西。
梅:來了!來了!
O.S妞:快抓住她,抓住她。
O.S喜:我抓不住嘛,哎唷!她打我呀!
發已被帶到圈外。
發:這⋯⋯妳們這是⋯⋯⋯
O.S妞:(呼痛)哎唷——妳⋯妳怎麼咬我呀!
衆女頓時哄然大笑。
梅:好了,人到了,把她放開吧。
發疑惑地望向圍着的人圈。
人圈散開,露出羞答答的鳳姑。
發眼光頓時一亮,不由喜形於色。
發:鳳姑!
衆:(故意發出怪聲)啊⋯⋯⋯
鳳姑不由一窒,滿面通紅。
梅:情郎一聲叫,小妹心肝跳⋯⋯(被鳳姑狠踩一脚)哎唷——
鳳姑乘機轉身欲逃,但却遭大夥攔住。
喜:咦!想跑,那這麼容易啊。
梅:對,可不能讓她跑了。
妞:鳳姑!往年整他(指發)我們都是聽妳,今天可也得聽聽我們的了吧。(向衆女)大夥説,對不對!
衆女熱烈響應。
衆:對對!我們要看!我們一定要看!
發不知衆所論何事,不由好奇。
發:看!看什麼啊?
衆大笑,鳳焦急頓足,裝出一付兇巴巴的神色,向發衝去。
鳳:看我修理你!
發大吃一驚,急忙底頭欲躱,不料鳳奔來竞迅速地在發臉上吻了一下,然後轉身逃離,衆女立卽爆起笑聲。
發撫着臉,呆楞得不知所措。
鳳穿出人群,正巧撞在順財懐中。
財:鳳姑!
鳳:(欲言又止)討厭!(迅速奔離)。
財望着鳳姑奔去的方向,臉上露岀茫然之色。
第九場
景:周家廳院
時:日
人:發財、周母
院門被推開,發從外奔入。
發:娘!娘⋯
周母聞聲從大廳走出。
母:(驚喜)順發,你可囘來了!
母子相擁,喜極而泣,周母突然嗅到發身上香氣,不由皺眉。
母:咦!順發,你這身香味⋯⋯⋯
發:(驚覺跳開)娘!這⋯⋯⋯
母:你啊!就會拈花惹草。
發:我⋯⋯⋯(欲辯無詞)。
母:還不快去換下來(拉着發就往廳内走)。
財提着行裏走入院門,見狀苦笑着隨後跟去。
第十場
景:周家大廳
時:夜
人:發、財、周母
桌上擺滿了飯菜,周母不斷地為順發碗裏挾菜。
母:來,多吃點。
發:行了,娘!我都快撑得動不了啦。
母:胡説,吃那麽一點,就飽啦?
發:娘!妳怎麼忘啦?一囘來又是小米粥,又是雞湯混呑,我肚那兒裝得下嘛!
母:好好⋯⋯我説不過你。
發:喔,我要出去一會兒。
母:(訝異地)出去!?
發:我跟人家約好的。
母:誰呀!?
發沒囘答,却向财望去。
財發現母親眼光正轉來,急忙心慌低頭吃飯。
周母望着兄弟二人神秘表情,心中已了然。
母:順發啊!不是我反對你交朋友,你是個讀書人,總得,總得找個門當互對的嘛。
發:娘!現在是什麼時代了,還講究這套。
母:唉!真是的,你也不為娘想想,娘就是不喜歡那丫頭,野裏野氣的。
發:(堅決地)可是我喜歡!
財驚然望向周母。
周母瞼上現出漠落之色,沉默一陣後遂幽然而語。
母:唉!隨你吧,反正你也長大了⋯⋯⋯
發自覺過份刺傷母親,遂溫和地走近母親。
發:娘!我去去就囘,待會兒再陪您聊天。(轉身走出)
母:這孩子,我真不知道,那丫頭到底那點迷上他了。
財怯生生地望看母観。
財:(低聲)娘!鳳姑不錯的。
周母立卽將怒出在財身上。
母:什麼不錯!不要以為她每天給你送飯,就認為不錯,哼!説穿了,還不是想嫁給咱們家順發。
財欲言又止,默默端起飯碗。
第十一場
景:李家大廳
時:夜
人:老爹、鳳姑
鳳收拾桌上殘餘的碗盤,突然發現碗邊放着一顆貝設,遂急忙取起細看,原來正是日前小狗子帶來的那顆。
鳳:爹!
坐在躺椅上吸着旱煙的老爹,聞聲懶洋洋地轉頭望向鳳姑。
爹:嗯!什麼事啊,丫頭!
鳳:(指貝設)你這是從那兒來的?
爹:哦!是我在門口撿的,怎麼!不是妳丢的?
鳳姑沒囘答,却楞楞望着手上貝殼出神。
老爹感到奇怪地打量鳳姑。
爹:丫頭!丫頭!
鳳:(猛然驚覺)啊!
爹:妳在想什麼?
鳳:(掩飾地)沒⋯⋯⋯沒什麼?
爹笑着起身走近鳳姑。
爹:嘿嘿⋯⋯妳呀!那點鬼心思還想瞞得了我?
鳳:什麽嘛!你又扯到那兒去了?
爹:快説實話,妳今天接到順發了沒有?
鳳:(嘟氣)沒有!
爹:沒有!?這就怪了。
鳳:人家接到順財哥了嘛。
爹:嘿嘿!好啊!臭丫頭説反話,快吿訴爹,那小子怎麼説?
鳳:誰呀?你説順財哥啊?
爹:得了,得了,爹的這點本事,妳全學會了。
爹生着悶氣,鳳在一旁偷笑,突然(OS)外傳來歌聲,鳳頓然驚望窗,爹却反倒不由笑了。
第十二場
景:山林夜色
時:夜
人:
歌聲響徹雲霄,月亮高掛樹梢。
情意綿綿的歌聲,旋繞在山林空谷之間,令人陶醉遐思。
第十三場
景:李家大廳
時:夜
人:老爹、鳳姑
鳳姑依立門前,傾聽歌聲,老爹悄悄走至其身後。
爹:(打趣地)這是誰啊?深更半夜,難貓子亂喊叫的。
鳳:(羞惱)我⋯⋯我去把這隻難貓子趕走。
爹:(故意捉狹)對,是一定要去的!(突然做了個鬼瞼)
鳳:(跺脚)討厭!(轉身急奔而出)
爹:(得意大笑)哈哈⋯⋯⋯⋯
第十四場
景:高崗上
時:夜
人:順發、鳳姑
月亮灑在波光緯X的海上,站在高崗山引頸高歌的順發,唱出無限情意。
鳳姑岀現在其身後,靜靜聽着。
順發將滿腔情意,化為歌聲,不斷向大海傾訴着。
鳳姑瞼上已有感動之容。
順發直到一曲唱完,才發現到身後的鳳姑,不由驚喜奔近。
發:鳳姑!
鳳姑從陶醉中驚然囘復意識,立卽羞惱地頓足嚷着。
鳳:你是想嚷得全村的人都出來看是不是!?
發拉住鳳的手。
發:鳳姑!我這是唱給妳聽的。
鳳:(甩開手)哼!肉麻兮兮的,難聽死了。
發:真有那麽難聽嗎?
鳳:本來就是嘛,吵死人了。
發:可是,妳總該聽得出我歌裏表達的意思嘍。
鳳:我又沒聽清楚,誰知道你唱什麽?
發:咦!那妳怎麼知道肉麻兮兮的?
鳳:(語塞)啊?我⋯⋯⋯
發:哈哈,好會裝蒜的丫頭。
鳳:你⋯⋯討厭,討厭⋯⋯⋯(不斷搥打着順發)
發挺身不動笑着讓鳳搥打一陣後,突然一把將其拉住。
發:鳳姑!嫁給我!
鳳聞言一怔,楞楞呆視着發。
發用熱情的目光,牢牢注視着鳳。
二人四目漸漸接近,突然鳳感到一陣顫抖,急忙推開發,並向後連退數步。
鳳:羞笑地)討厭!不理你了!(轉身快奔離去)
發焦急欲追。
發:鳳姑!鳳姑!妳跑不掉的!(見人已奔遠遂不由自言自語地苦笑着)妳跑不掉的⋯⋯⋯⋯
第十五場
景:田間
時:日
人:財、狗
財擧着鋤頭,不斷猛鋤着土地,臉上却現出漠落痛苦的表情。
坐在田埂上的小狗子,雙手托腮目不轉睛地凝視着財,彷彿也是心事重重。
財突然放下鋤頭,抬首凝視注遠方,神色頃刻數變。
小狗子抬頭靜觀其變。
財漸漸收囘視線,而轉移到小狗瞼上時,才驚然警覺。
財:咦!小狗子!你來了多久?
狗:早就來了。
財:哦!?真抱歉,我沒注意到。
狗:順財叔叔!
財:啊!
狗:為什麼你還不快去追鳳姑姑?
財:(一怔)這⋯⋯⋯(尷尬苦笑)嘿嘿⋯⋯小孩子懂什麽。
狗:哼!我才不小了呢,我覺得你好傻,鳳姑姑也很傻,(起身踏着田埂離去)。
財望着遠去的小狗子,不由自言自語着。財:(心聲)我,我真是很傻嗎?
第十六場
景:小村道
時:日
人:鳳姑、大妞
鳳提着食籃,拉着妞在村道上快行,妞緊張兮兮的。
妞:鳳姑!我心跳得都快走不動了,咱們還是囘去吧?
鳳:那怎麼行,説好了今天要替妳和順財哥作媒的。
妞:唉唷!快別説了,我兩條腿都發軟了。
鳳:這可是妳自己同意的,現在想反悔也來不及了。
妞:哎哎……好鳳姑,美鳳姑,妳就饒了大妞我這一遭吧。
鳳:瞧妳的,真沒出息,其實啊他比妳胆子還小,説不定咱們去了,他早就溜了。
妞:真的!?
鳳:騙妳幹什麽,我們從小一塊長大,我還不清楚啊?
妞:那⋯⋯那就沒關係了。
鳳:不過,大妞!咱們得先説清楚。
妞:好,妳説!妳説!
鳳:順財哥是老實人,妳可不能欺負他啊?
妞:不會的,決不會!
鳳:(傷感地)唉!他心地善良,溫厚、篤實,有時候我覺得連順發都比不上他⋯⋯不由一怔)。
妞:咦!妳快繼續往下説啊⋯⋯(發覺失言忙用手捂嘴)。
鳳:(笑)瞧妳真不害臊的。
妞:(尷尬羞笑)嘿嘿⋯⋯⋯⋯。
第十七場
景:田間
時:日
人:財、鳳、妞
財正獨自抱頭苦悶地坐在田埂邊,突然被一聲尖叫驚起。
OS妞:哎唷!我的媽呀!
妞鳳已出現在不遠的田埂小徑上。
妞:妳瞧!他在那兒嘛,妳還説他會溜⋯⋯⋯
財急忙迎上前去。
財:鳳姑!給我送飯來啦?
鳳姑迷惘凝視着財。
財故作輕鬆,想打破雙方的沉悶。
財:哦⋯⋯讓我猜猜,嗯!一條煎魚,炒白葉心,還有⋯⋯我最喜歡吃的炒豆芽,是不是!
大妞打開籃蓋,果然正是這三樣,不由傻傻地望着二人。
財眼根本未曾看着食籃內的菜飯,仍然忘情地注視着鳳。
財:謝謝妳,鳳姑?
鳳望着財,却不由自主地流露出熱情的目光,但瞬卽却驚然掉頭奔去。
妞:(焦急)鳳姑!妳不能把我一人丢往這兒,⋯⋯(緊追而去)鳳姑⋯⋯⋯
財悽然望着遠去的鳳姑。
財:(輕聲地)鳳姑⋯⋯⋯
第十八場
景:高崗上
時:日
人:鳳、發、財
鳳抱膝坐在高崗上,凝視着手中貝殼,内心徬徨至極,不知情歸何處。
她情不自禁,將心聲化為歌曲,幽幽唱出。
松針落葉,月光海水,錯雜交叠在鳳姑臉上,迷惘又徬徨地來囘蹀踱着。•
當曲至終了時,她發現順財正含笑向她漸漸走近。
她期待着,渴望着,臉上洋溢出熱熾的情意,突然——
O.S發:妳怎麼啦?
鳳仔細一看,幻影消失。站在面前的竟是順發。
她滿面的希望,頓時轉成失望。
鳳:(自語)我⋯⋯我怎麼啦?
發疑惑地望着鳳。
發:妳在想什麼?
鳳神情恍惚地沉思着。
發:鳳姑!
鳳:(一驚)啊!我該去準備宵夜。
發:宵夜?給誰送宵夜!?
鳳:順財哥啊!他每天晚上都在河邊捕蝦的。
發:(一笑)妳不是介紹大妞去了嗎?
鳳:是嗎?真是的,你看我多糊塗。
發:鳳姑!你到底是怎麼回事?
鳳:怎麼了嘛?我是怕順財哥餓着。
發:順財,順財,妳就只關心他。
鳳:咦!他是你弟弟,再説我們三個從小一塊長大,我關心他又有什麼不對?(一付嬌蠻之態)
發:(語塞)這⋯⋯好,好,好,妳對,妳對!
鳳:(破顏一笑)哼!小心眼!(轉身奔離)
發:(焦急追去)鳳姑!鳳姑⋯⋯⋯
第十九場
景:江家大廳
時:日
人:村長、老爹、財、狗、根、春、生、牛、福、木頭、衆村民
財和根扶着受傷的木頭,從門外急奔而入,身後還跟着大批村民。
財:村長!村長⋯⋯⋯
村長和老爹正在廳中下棋,聞聲立卽起身出視。
村:什麽事,什麼事?
木頭已被扶至廳外/
財:村長!木頭受傷了!
村:(意外地)受傷!?
爹:這是怎麼囘事?
木頭滿臉是污血,身體虛弱地靠在財肩上。
木:我們在村外九曲溝遇到一批土匪,同行五個人除了我全都被他們殺了。
衆人大驚失色。
木頭繼續敍述詳情。
木:當時,我為了逃避追殺,結果失足掉進山溝裏,才徺𢔛沒被他們找到,要不然⋯⋯(悲痛顫懼而嚎啕大哭)。
村長及衆人皆神色沉重。
村:這些人裏面,有沒有熟面孔?
木哽咽着揺了揺頭。
木:(顫懼地)可是,那個土匪頭子,我這輩子都不會忘得了,他那一雙眼神,又冷,又狠,他⋯⋯他簡直就像個兇神惡鬼!
衆人紛紛小聲議論。
村:順財!
財:村長!
村:你們先把他送到萬老先生那兒裏傷去。
財:是!
財、根,將木扶出江家,衆人也紛紛跟隨離去。
村長背手沉思,來囘度着方步。
村:奇怪,村子附近從來就沒發生過這種事。
爹:村長!我看,咱們還是先派人到縣城去報個案吧?
村:嗯!(囘頭發現小狗子站在門口)小狗子!
小狗子聞聲上前。
狗:爺爺!
村:快去把你爹找囘來!
狗:是!(似有難言之苦,但又不敢不從,遂轉身離去)。
第廿場
景:小茶舘
時:日
人:貴全、孫六、狗、老闆、賭客甲、乙、丙及其他賭衆
三顆骰子擲入碗中,滾動靜止後成了一、二、三點,領時四週響起一片笑鬧聲。
甲:又是一、二、三,通賠!哈哈⋯⋯⋯
江貴全臉色頹喪。
江:媽的!倒了一晚上邪霉了,再欠一把!再欠一把!
衆人不允,立起叫嚷。
乙:不成,不成,你已經欠了兩把了。
丙:對了,沒錢還做什麼莊嘛?
江惱羞成怒。
江:怕什麼!?我江貴全賴過誰的?
坐在一角,帽壓得低低的孫六,聞言猛然一怔。
賭徒繼續與江爭執着。
乙:話不能這麼説,賭錢賭現,這是老規矩啊!
江:(大怒摔碗)哼!什麼規矩不規矩,我又不是今天才來賭的。
丙:咦!幹什麼!?你以為你是村長的兒子,就想耍狠啦?
甲:(勸和)哎哎⋯⋯妤了,好了⋯⋯
坐在一角喝茶的孫六,略將頭抬起,暗自向江打量。
O.S甲:大夥都是老朋友了,何必反臉呢⋯⋯
甲將江拉至一旁,店老闆也聞聲趕來。
甲:我説貴全啊!勝敗是兵家常事,輸了改天再來就是了嘛。
江:媽的!我真嚥不下這口氣。(向老闆)張老闆!再借我兩個。
闆:(尷尬地)江少爺!不是我不借!實在你借得太多了,都還沒還呢。
江:你⋯⋯
小狗子已站在店門口,又怯又怨地望着江。
江神情一怔。
江:咦!小狗子!你跑到這兒來幹什麼?
小狗子期期艾艾地説明因由。
狗:爹!爺爺叫你囘去。
江不耐煩地向狗揮手。
江:知道了,知道了,你先囘去!
狗仍站莊門口未走。
江大怒。
江:咦!叫你先囘去啊!
狗仍未打算離去。
狗:爺爺要我跟你一道囘去嘛⋯⋯⋯
江大聲喝斥。
江:你!你想挨揍啊!?囘去———
狗不甘願的轉身走岀店門。
狗:(自言自語)囘去就囘去,那麼兇⋯⋯⋯
O.S江:等等!
江快步走至狗身旁。
江:(小聲地)你要敢跟爺爺説我在這兒⋯⋯看我揍不揍你。
狗:(嘟氣忍涙)知道啦!(轉身奔離)。
張老闆走至江身後,感嘆地望向離去的小狗子。
闆:唉!這孩子從小說死了娘,也真夠可燐的。
江:(愧疚無言地望着門外)⋯⋯⋯
第廿一場
景:村中街道
時:夜
人:江、孫
江獨自在街上走着。
有一雙神秘之脚在後跟踪。
江似有驚覺,遂住脚細聽。
那雙神秘之脚也立卽停在暗處。
江囘身察視一番,但不見動靜,方欲轉身繼續前行時,突然身後有人直呼其名。
O.S孫:江貴全。
江:啊!(囘身囘望)。
孫六從暗處緩緩走出。
江驚然楞視。
江:誰!誰!你是誰!
孫走至燈光處停身,將低壓的帽簷緩緩推上,露出臉上明顯的刀疤。
孫:還記得我嗎?
江看清來人,頓時大驚失色。
江:啊!刀疤孫六!
孫得意冷笑着逼近江。
孫:嘿嘿⋯⋯不錯,畢竞沒把老朋友給忘了。
江:你⋯⋯你來幹什麼?
孫:怎麼?不歡迎是嗎?
江:不不⋯⋯我只是感⋯感到意外⋯孫六!我已經洗手不幹了⋯
孫:(冷笑)嘿嘿⋯貴全啊!胡老大可是還惦記着你這位當年的老兄弟啊。
江:(驚懼)什麼!?胡老大也來了!(下意識地東張西望)。
孫:那倒沒有,不過,他隨時會來,而且一定會來。(冷笑)嘿嘿⋯⋯⋯
江:啊⋯⋯⋯(失魂落魄地呆望着孫六)。
第廿二場
景:山道溪邊
時:日
人:胡三寶、孫六、胡七、江、匪徒數名
胡三寳趴在溪邊牛飲一番後站起,從身旁胡七手中接過毛巾,在臉上亂擦一陣,並走至孫六身前。
胡:這小子到底會不會來?
孫:老大!你想他敢不來嗎?
胡:哼!諒他也沒這個種⋯⋯(突然聽到陣陣鼾聲,遂轉身向身旁地上望去)咦!
地上早已七横八豎地躺着敷名匪徒,狀似十分疫胭。鼾聲正是從胖子大炮嘴裏發出的。
胡一見狀就來火。立卽衝上前向大炮等亂踢一通。
胡:媽的!你們才走了多少路,全他奶奶的累趴下啦,還不都快給我滾起來。
衆匪徒不敢吭氣,立卽紛紛從地上跳起。
胡餘怒未消地將手上毛巾扔落地上。
胡:哼!越想越窩囊,都是那批王八旦偵緝隊,追得咱們跟兎子似的。
孫:(上前勸説)老大!大丈夫能伸能屈,只要咱們在漁村裏躱一段時間,等這陣子風頭過了再出來不就結了?
胡:你能擔保他們準不會找到這兒來?
孫:放心!偵緝隊絶料不到咱們居然還有膽子往囘走。何況姓江的老子是村長,咱們能控制村長,不就等於控制全村,那還怕會走露半點風聲嗎?
胡:(略一思考)好!這事你負責,當心,可別給我出差錯。
孫:嘿嘿,老大!萬一真要出了差錯,咱們只要往船上一跑,不就天下太平?
胡:(悟然而笑)嗯!嘿嘿⋯⋯⋯
O.S匪徒:老大
一名匪徒急速奔來禀報,另兩名匪徒則押着貴全隨後而至。
匪:老大!姓江的到了。
胡突然目光變得冷酷兇殘,向江逼視而來。
江頓時面色蒼白,全身抖顫不已。
胡不發一言,兩眼依然冷冷瞪視着江。
江不敢與對方目光接觸,而緩緩垂下頭去。
胡突然發出一陣狂笑,大步逼近江,並擧手拍了拍江的肩膀。
胡:(狂笑)哈哈⋯⋯好!好兄弟!你終於又囘到老哥哥身邊了啊,,哈哈⋯⋯
江:老大!我⋯⋯(欲言又止)。
胡:(略感不悦)嗯!?
孫立卽上前,並用眼色向江暗示。
孫:嘿嘿⋯老大!昨兒夜裏我已經把您的意思轉達給江老弟了,他呀,馬上就一口答應下來,嘿嘿⋯(用眼色示意江)江老弟!你説是不是?
江:(不得已)啊!是⋯是是⋯⋯
胡:(猛拍江肩膀)妤!這才叫做夠意思(大笑)哈哈⋯⋯
江一臉欲哭無涙地陪笑苦笑。
第廿三場
景:山崗及山道
時:日
人:鳳、發、江、胡、孫、炮、七、匪衆數名
高崗上一片蒼松翠綠,四週遠山圍繞,白雲悠悠。
鳳姑正雙手托腮,心事重重地坐在巨石頂上凝神沉思。
突然頭頂一片落葉緩緩飄入眼前。打斷鳳姑思緒,她順手拾起落葉,頓時有感而發地起身唱岀心中的紛亂及茫然。(插曲)
歌聲在山林之間迴蕩着。
山下溪邊洗衣的村姑們停下了工作,起身傾聽歌聲。
田中耕作的農人,也放下了鋤頭,抬首欣賞着。
崗下彎道上趕路的胡、江等人,也停住了脚步。
胡彷彿已入迷似地凝視着山崗,身旁的孫六方欲開口,却被胡摇手制止。
孫:老大⋯⋯
胡:(示意噤聲)噓⋯⋯⋯
山崗上的鳳姑:並不知衆人皆已沉醉在其美妙的歌聲之中,仍繼續忘情高歌着。
在她背後的小路上,又出現了順發,他初時充滿了喜悦之情,但當聽清楚歌詞中含意後,不由蹙起眉頭,因為他蹙覺到鳳姑似乎心目中還愛着另一個人,這怎不敎其深感迷惑。
鳳姑一曲唱完,心緒尚未平靜,神情依然如痴如夢地凝視着天邊。
順發稍作猶豫,遂輕聲呼喚鳳姑。
鳳姑恍似未覺。
發乃再度呼之。
鳳姑猛然驚覺,立卽轉身囘視,見是順發,神情一怔。
鳳:(略顯尷尬)咦!順發哥!
發關懷地走近鳳姑。
發:妳在想什麽?
鳳:(掩飾地)沒⋯沒想什麼呀!
發:不!我看得岀來,妳一定有什麼心事瞞着我。
鳳:(嬌急)哎呀!你這人怎麼這麼婆婆媽媽的嘛!?
發:鳳姑!難道妳還不了解我心裏 ⋯⋯
鳳:誰説我不了解!?
發:(驚喜)真的!?
鳳:(悄皮地)還煮的呢!哼!其實呀,你心裏想的還不是城裏那家的千金大小姐呢。
發:妳⋯⋯
鳳:你看,承認了吧?(得意笑着轉身奔離)。
發:這鬼丫頭!(追出)。
山道上的胡:望着山崗上嘻笑追逐的二人,臉上現出濃厚的妒意,身旁的江則羨慕地輕聲讚嘆着。
江:他們真是天生的一對⋯⋯
胡:他是誰?
江:鳳姑!
胡:我説的是那個男的。
江:哦!他叫周順發。
胡:周—順—發(發出陰森狠毒的冷笑)。
江見狀不由感到心驚膽寒。
第廿四場
景:李家外貌
時:黃昏
人:爹、鳳、發、胡、江、孫、七、炮、匪衆數名
鳳姑直往家門奔去,發在後急追。
發:鳳姑!鳳姑!妳等我嘛⋯⋯⋯
鳳衝入家門差點與爹撞個滿懷,爹不由神情似笑非笑地打量着二人。
鳳:(不依)爹—看什麼嘛!
爹:人家是丈母娘看女婿,我這是⋯⋯⋯
鳳:哎呀!爹——(不好意思推老爹)把老爹哈哈大笑)
鳳見發在一旁傻笑,不由羞急跺脚。
鳳:笑什麼?賊眉賊眼的最討厭了。
發:(寃枉)鳳姑我⋯⋯老爹⋯你説她講不講理!
爹:(故意)你叫我什麽?
發:老爹!我是説⋯⋯⋯
爹:(裝聾)誰呀?叫什麼?
發:(一怔恍然)我⋯⋯(看鳳)
爹:(對鳳)我是不是聽錯了!有人叫我什麼『泰山』來着!
鳳大懆,狠狠捶了老爹一下。
鳳:爹最討厭了!
鳳掩瞼奔去,爹大樂。
發:鳳姑!
老爹故意咳了兩聲阻止發追去,發不安焦懆的。
爹:小伙子!咱們爺倆該談點什麼了是吧?
發:(一怔)是!是!老爹!
爹:噯,慢點,慢點,我看咱們還是先從稱呼上談起,你説是不是?
發:(尷尬)這⋯⋯我⋯⋯
爹:(大笑)哈哈⋯⋯
鳳躱在街角望着這一對老少談着她的事,不由羞紅瞼的咬着衣角,突然被身後一聲乾咳嚇了一跳,急忙囘身而視。
原來是胡帶着手下,正似笑非笑地站在她身後,江則感到十分尷尬地向鳳姑打着招呼。
江:嘿嘿⋯⋯鳳姑⋯⋯⋯
鳳姑怒目瞪視着胡。
鳳:你這人幹什麼嘛?鬼頭鬼腦嚇人一跳!
胡不由露出白牙森然一笑。
胡:(自語)嗯!真標緻!
鳳:(插腰)喂!我警告你喲!
胡:我叫胡三寶!妳好好記住!不是什麽喂!
鳳:你!你們是幹什麼的?
胡:(略一思考)偵緝隊!
鳳:什麼真七隊,真八隊的,難聽死了!我看乾脆叫蒸雞腿算了。
胡一怔後不由大笑。
胡:哈哈⋯⋯好厲害的丫頭,嗯!有意思,我倒很喜歡妳。
鳳:呸!誰要你喜歡!自己去照照鏡子吧!
鳳扭頭便走,胡深意的看着。
第廿五場
景:江家廳院
時:日
人:胡、江、村長、孫、狗、七、炮、匪衆數名。
嘩啦一聲,高脚花架被一輛載着槍枝彈藥的手推車撞倒,架上的盆景立卽跌得粉碎。
正與胡站在廳門口談話的村長,聞聲急忙轉頭驚望。
院中呈現出一片零亂。
匪徒們有的在水缸旁舀水淋頭,然後隨手拉下曬在竹桿上的衣服擦拭濕髪。
有的坐在石磨上,蹺腿脱鞋揑着臭脚丫。
有的用小刀割下掛在屋簷下的臘腸,不管是生是熟,抓起就往嘴裏塞嚼。
一名匪徒從手推車上取出一支步槍,拉開板機上膛,並有意無意地對準村長瞄準一番後際卽擊發,結果,原來是支未裝子彈的空槍。
村長為之嚇了一跳,此時身旁的胡正向孫六高聲吩咐着。
胡:孫六!
孫:老⋯⋯(急忙改口)哦!隊長!
胡:先帶他們下去找房間安頓。
孫:是!
村:(驚愕地)這⋯⋯⋯
孫:(向院中)你們都跟我來!
院中的匪徒們立卽湧入廳内。
村長氣極敗壤地瞪了身旁的江一眼,江愧疚低頭不語。
村:胡隊長!(急忙走至胡身前)這⋯⋯這恐怕⋯⋯⋯
胡:(神氣地)江村長!立刻把村子裏主事的人全都招集起來,我有重要事情宣佈,(説完就大搖大擺逕自走入大廳)
村:(無奈地)是!(怒向江)你過來!
村長與江走至院中一角站定。
村:(氣極地)你説,你説,這到底是怎麽囘事?
江:爹!您不是叫我到縣城去報案的嗎?剛巧就遇上偵緝隊追剿土匪到了咱們村子外,所以胡隊長就跟着我囘來啦。
村:可是,這⋯這那像是偵緝隊,簡直就跟土匪一樣嘛?
江:(急作噤聲狀)噓⋯⋯爹,你小聲點。
村:(緊張向廳内張望)唉!這那是自己的家喔!(搖頭嘆息着走岀院門。
抱着小花狗躱在牆角暗處的小狗子,等江轉身走入大廳後,才現身溜出院門。
第廿六場
景:順財房内
時:夜
人:財、狗
顺財正蹲在房中整理捕蝦工具,準備外出捕蝦。
小狗子從外直奔而入。
狗:順財叔叔!
財遂放下手中工作,起身迎前垂詢。
財:咦!小狗子,什麼事啊?
狗:(緊張喘息着)順財叔叔,我們家來了好多人啊。
財:哦!是些什麼人啊?
狗:我也不認識,是爹帶回來的。
財:那一定很熱鬧嘍?
狗:可是,這些人很兇,好像都是壞人呢?
財:噯!小孩子不可以亂説話。
狗:是真的嘛,爺爺還很生氣的罵了爹幾句。
財:好了!我們不談這些,走,我帶你抓蝦去。
狗:(興奮地)好哇,我最喜歡跟叔叔抓蝦了。
財:那就走吧!(提着蝦簍及網具與狗一同出房而去)
第廿七場
景:溪邊
時:夜
人:發、財、鳳、狗、其他衆村民
溪洲之閒,蘆葦深處,沿着小溪岸邊一線,到處皆是點點蝦燈,昏黃明滅,煞是好看。
村民們不分男女老少,皆高捲褲腿地站在溪中,一手提燈一手執網地在水中捕蝦,不時處處響起收獲的歡呼聲。
鳳姑也沿着岸邊用網具捕蝦,網了半天好不容易才捕獲一隻大蝦,立卽興奮囘頭,欲向身旁不遠處的順發眩耀一番。
却見發正全神貫注地低頭網蝦。
鳳頓時興奮起捉挾的意念,遂悄悄走至發的背後。
鳳突然雙手用力推發,發立卽一頭栽進水中。
鳳樂得哈哈大笑,並轉身就跑。
發從水中掙扎站起,氣極敗壞地望着鳳。
發:好啊!妳這丫頭,看我不收拾妳!(拔足追去)
鳳隱身藏入蘆草中,掩口笑着緩緩向後退移着。
發早已繞至鳳姑身後方守侯,待鳳移近時才突然現身一把將其捉住。
發:看妳還往那兒逃!
鳳急忙掙扎擺脱,二人嘻笑着在蘆草中追逐。
發:妳跑,妳跑!
鳳:你追呀!你才追不到呢!
鳳轉身欲跑,却不小心絆倒跌落水中。
發驚呼急衝上前。
發:(驚叫)鳳姑!
發一把拉起姑。鳳不依的擂打着發。
鳳:都是你害旳,都是你害的!
鳳猛抬頭却發現發異樣的看着她,兩人皆濕淋林地,鳳不由顫慄的望着發。
發深情的逐漸俯下身欲吻鳳。
鳳被對方熱情所染,已緩緩閉上雙眼,正當其意亂情迷之際,突然被一陣清晰的划水聲驚醒,遂急忙偏頭望向蘆草外的水面上。
水面上財和狗正划着竹筏沿途收起水中蝦簍而過。
鳳姑驚然猛力將發推開。
發:(驚訪)鳳姑!
鳳:不!我不喜歡,不要這樣!
發:鳳姑!鳳姑!
姑匆忙站起掉頭飛奔,發心中突然升起莫明妒火。
發:鳳姑⋯⋯⋯他是誰?(憤怒地)
鳳一怔不由站住迷惘的不知説什麼是好。
發:吿訴我?鳳姑!是不是有別人?
鳳不由看了看遠處的財連自己都不清楚的。
鳳:我不知道!(掉頭奔去)。
發不由跟着鳳的視線看到了財。
發:不!不可能!這不可能!
第廿八場
景:大江邊
時:
人:鳳、發、財、妞、江、胡、孫、七、炮、木、群衆
大江邊奔騰的群衆,鑼鼓喧天,順發登上了岸邊的高台英姿挺拔頭上紮了紅巾輕輕試了下高台大鼓的音色。
群:(驚騰高叫)龍王——
發得意一笑看了看另一座高台大鼓上的得根黑中打扮。
根揚了揚臂力示威性的挑戟:陸續的鼓手登上了高台。
那一隊隊紅、黃、藍、白、黑的船員蹲在一艘艘岸上的龍船邊手扶龍船起步待發。順財在紅隊划手之一。
在那河對岸划着繽紛的小船送着花朶船的女孩登上了河中的浮台,鳳姑儀態萬千的上了浮台。
衆:花魁——(吼着,口哨叫囂)°
河邊的岸上一人抱着小鼓雙手伸高衆人刹那間平息了騷動,台上的龍王鼓手們緊張屛息的看着小鼓!
臉上依然裏着綢帶的木頭也擠雜在人羣中,屏息觀望着。
衆人皆在屏息,期待沈寂着。
胡帶着屬下穿過人潮擠向了岸邊第一眼就看到了鳳姑。
小鼓手像飛鳥展翅地雙手上揚兩次邊速的擊在鼓邊上。
各隊的划手像拼了命船的擧船衝向河中再跳上船在紅隊是第一個全部到齊立刻擧漿。
發毫不遲疑的擂出第一聲,那紅隊立刻下漿入水,發緩慢的擂鼓,紅隊依着鼓聲整齊劃一的開始動作。
別的高台也響起了鼓聲。
發是越擂越快紅隊搶先奔出;鼓聲成單音雙音,全是支配船行的方向和速度。
黑隊突然間當前趕上那黃、藍、白也不示弱的鬧個平行。
鼓聲震天此時誰也分不清誰是誰的鼓主,可是這就有了花俏,那順發的鼓音是一下中帶着邊鼓的碎點。
立刻間各隊的鼓音也有了各隊的花俏絶不會亂。
這五隊人馬拼個你死我活誰都奮力爭先一時出了不分上下的局面。
衆人聲嘶竭力地爲各隊人馬喊叫助威,木頭也在爲發財兄弟摇旗喊呐。
只見那鳳姑突然間打了個手勢,發立刻停鼓衆人一怔發在邊鼓上密集的打上碎點子,姑唱了起來,發改碎黏而擂起全音,立刻是凌駕所有鼓主之上。(插曲)
別台的花魁也唱了起來却蓋不住姑的一切。
胡吃驚的看着姑那姿容那神態一次又一次的刻在胡的心上—而鳳却深刻的看着財為她加油着。
最高潮了搶花魁,鳳更加賣力的擧起綵球來只見那紅隊一馬當先到達台邊,發敲出一個雙音那龍舟是立刻煞住,發來囘車輪船滾動者鼓槌,那龍舟360度的大迴旋,舵手站起拿住了姑的球高擧衆歡呼。
要搶岸了那更是使出了絶活!紅隊終於奪得龍王賽頭彩。
群衆們興奮的高擧起汗水淋漓的發吶喊着。
衆:龍王!龍王!
木頭也忘了傷痛,高擧得又跳又叫,但他在無意間向一側瞥了一眼,却突然有所發現。
原來所發現的却是不遠處的胡等一千匪衆。
木霎時震驚得呆若木雞。
此時五彩繽紛的花船已接囘了鳳姑。
可是鳳却對着人群中疲憊的財招着手。
財看着發的高高在上笑了笑憤然的走出。
鳳高擧着手向財揮動,但財却未曾發覺,而獲自孤寂地離開喧鬧歡愉的羣衆。
發在高處無限歡欣中,看到鳳姑神色有異,遂順着其視線尋去,結果所見的竟是行中的財。
胡也順着鳳的視線,向財望去。
此時正在人羣中倉惶奔逃的木頭,却巧與財擦肩而過。
財感到意外,遂急忙一把將木頭拉住。
財:咦!木頭,你怎麼啦?
木:(驚恐掙扎)啊!放開我,快放開我⋯⋯⋯
胡、孫等發現木頭,頓感一怔。
孫:老大!那小子⋯⋯⋯
胡:糟了!就是那天的漏網之魚,快追!(率衆撥開人羣向木急奔而去)。
木掙脱財,立卽轉身奔逃,但他掛在頸上的一條金項鍊却斷落在地上,財拾起後焦急追喊。
財:木頭!等等!你的東西⋯⋯木頭!(焦急)
胡帶着手下氣勢兇湧地急追着,羣衆們被衝撞得人仰馬翻。
鳳姑見狀心感訝異,遂跟踪查看究竟,但人羣湧擠,行動困難。
第廿九場
景:密林
時:日
人:財、發、鳳、胡、孫、江、七、炮、木、匪徒數名、村長、村民數十名
木在林中踉蹌奔逃。
財揮着手上項鍊在後追喊。
財:木頭!木頭⋯⋯⋯
木不小心被樹根絆倒,跌滾地上呼痛呷吟。
財終於追上,急忙將其扶起。
財:木頭,木頭⋯⋯
木:(惶恐嘶喊)放開我!放開我——
財:木頭!你冷靜一下,是我,順財呀!
木:(漸漸恢復意識)啊!順財哥!村長呢?我要找村長。
財:找村長!?到底發生什麼事?
木:有土匪!有土匪!
財:(大驚)土匪!?土匪在那兒?
木:在⋯⋯(突然身體一震,兩眼驚恐地瞪着財)。
財莫明其妙地看着木。
不料木竟緩緩向前,倒入木的懷襄。
財急忙將木抱住,才發覺其背後已插着一柄飛刀,財一聲驚叫,惶然鬆手跌坐地上。
密林深處的孫六,正得意地玩弄着手上飛刀,冷笑逼近而來。
財轉身欲逃。
來路上早被胡及其手下截斷,且彼等也已散開,從四面包抄過來。
財驚恐絶望,不知所措地望着衆匪緩緩後退,但頸後却被孫六的刀尖抵住,無法動彈。
胡臉上現出兇殘冷酷的表情,一步一步逼近至財身前。
財惶恣顫抖地望着胡。
胡從懷裏掏出手槍。
一旁的江見狀焦急,急忙上前替財求情。
江:老大!順財是個老實人,他絶對不敢説出去的,你⋯⋯你就饒了了他吧⋯⋯
胡根本看都不看江,猛一揮掌,將江打得翻滾倒地,並繼續擧起手槍,向財的眉心逼去。
財驚恐欲絶地張着大嘴,本能的將頭後移。
財頸後已被刀尖刺破皮肉,鮮血立卽流下。
胡瞼上的笑意更濃更冷。
財張着嘴,發出無聲的哀泣。
胡扣着手槍板機的食指,正緩緩運力下一壓。
財額頭佈滿汗珠,呼吸也越來越急促,兩眼瞪得幾乎裂地瞪着手槍板機。
突然扳機壓下,手槍立卽發出一聲清脆的空槍擊發時的撞針卡簧聲。
OS鳳姑的尖叫聲同時突然響起。
鳳姑瘋狂地從林中奔出。
財已頹然跌坐地上,全身劇烈顫抖不已。
鳳猛力推開孫,急撲至財身旁將其緊緊抱住。
鳳:(哭喊)順財哥!順財哥!
順財突然暴出歇斯的里的悲號,鳳焦急淚流地將其抱停更緊。
財:(哭叫)大哥!大哥!快來救我!快來救我⋯⋯⋯
鳳:順財哥!不要怕,不要怕!(怒目轉向胡)你們都是瘋子啊,為什要欺負他,為什麽!?他從不傷害別人,你們為什麼要狠心傷害他!?
財:(神精質地)求求你們,求求你們,饒了我吧,我給你們磕頭,我給你們磕頭(跪地連連磕頭)。
鳳:(急忙哭叫拉阻)順財哥,不要這樣子,不要這樣子!
胡冷眼望着二人,臉上充滿妒恨之色,身旁的孫已漸感不耐。
孫:老大!剛才為什麽不乾脆斃了他。
胡:(自言自語)我不懂,我真不懂,她到底喜歡他那一點?
孫越看越火,遂衝前一脚將跪着的財踢得仰翻滾地,並擧刀順勢刺下。
鳳姑見狀急忙奮力抱住孫腿。
孫怒一脚踢開鳳,繼續衝前抓起財的衣領,正欲一刀刺下。
鳳姑奮不願身,再度撲囘抱住孫的手臂糾纏不休。
鳳:我求求你,不要殺他,不要殺他⋯⋯⋯
孫連連揮臂,皆未能將鳳甩脱,不由怒極。
孫:媽的!妳再不放手,老子就連妳一塊宰了。
鳳仍然死命抱住孫臂不放。
鳳;好!你殺我吧!只求你不要再傷害他。
孫:媽的!(用力甩臂)。
孫將刀換交另一手,並快速向財刺去。
鳳情急之下,慌忙用手抓住刀仞;,結果割破掌心,鮮血從指縫間流出,但其手却仍然緊抓刀仞不枚。
孫不由怔住,動作因而停頓。
OS材:(大吼)住手———
村長帶着大批村民匆匆趕到,順發也在其中。
發:鳳姑!(急步走至鳳身前)。
鳳並未理會,却反奔至仍然顫抖不已的財身旁,將其扶靠懷中。
鳳:順財哥!不要怕,我在這兒,誰也不敢再欺負你⋯⋯⋯
發見狀怔住,神情頓然變得痛苦難堪至極。
江見父怒容瞪視着自己,只好硬着頭皮上前招呼。
江:爹!
村:(掌打了江一耳光)畜牲!(又轉向胡)胡隊長!你們這是幹什麼!?
胡擺出一付不可一世的姿態,傲然瞪視着村長。
胡:哼!躺在地上死掉的那個,正是我們要追捕的匪徒。
村:胡説!木頭是個生意人,經常到我們村子裏賣針線花粉,大夥全部認識他,你憑什麽説他是匪徒?
胡:(走至屍體旁拾起地上的金項錬)就憑這個!
村長及村民們全弄不清怎麼囘事。
胡得意地將金錬收入懷裏。
胡:這是贓物!各位還有什麽疑問沒有!
村:(猶豫一陣)那⋯⋯那這跟順財有什麽關連?
胡:他協助匪徒公然拒捕,有串謀通匪的嫌疑。
鳳姑聞言大怒。
鳳:(喝斥)你少胡説!
胡轉頭怒視鳳,村長急忙代為解説。
村:胡隊長,順財一向勤奮老實,很少離開村子,他絶不能跟土匪有任何牽連。
胡:你能擔保!?
村:能!不單是我,相信全村子的人,都能替他保證。
胡:(故作思考狀)嗯⋯⋯(然後緩緩走至鳳姑身前)。
鳳毫不畏懼地怒視着胡。
胡不懷好意地連連冷笑。
胡:丫頭!我答應饒了他,不過,這可是衝着妳的面子啊,哈哈⋯⋯⋯⋯
(轉身率衆離去)
財仍然細聲喃喃自語。
財:大哥!快來救我,快來救我⋯⋯⋯
鳳:(緊緊抱住財)別怕,我會保護你,可憐的順財哥,我永遠都不會離開的,順財哥⋯⋯⋯
默默站在一旁的發,黯然悄悄離去。
第卅場
景:順財房内
時:夜
人:鳳、財、發、母、萬老先生
大夫萬老先生為昏迷躺在床上的財把完脈後,遂緩緩站起身來,一旁的周母立卽迎上前去。
母:(關切地)萬老先生,你看這孩子⋯⋯⋯
萬:不要緊,受了點驚嚇,吃兩服葯,休息休息就會好的(説着往房外走去)。
母:(跟在萬後)哦!那說好了,謝謝您啊!
留在床邊的發,待二人走房後,遂默默低頭為財蓋好被子。
財在昏迷中發出囈語。
財:大哥!大哥!快來救我,快來救我⋯⋯⋯
發臉上現出又憐愛又怨恨的複離痛苦表情。
發:(輕喚)弟弟⋯⋯(起身背轉臉去擦拭眼淚)。
OS鳳:(壓低聲音)順發哥!
鳳出現在窗外。
發神情瞬息數變,最後才勉强壓抑住激動的情绪。
發:(冷冷地)妳放心吧!他會平安無事的。
鳳愧然垂下頭。
鳳:順發哥!我⋯⋯⋯
發:(痛苦地)什麼都不用說,我都明白了。
鳳:不,你不明白,我自己也是在那一刹那之間才發覺的,原來,他早已經是我生命的一部份,我沒有辦法再選擇,我⋯⋯⋯
發:(怒吼)不要説了!
鳳一怔,無言望着發。
發心情矛盾至極,片刻後才稍微壓抑住激動的情绪。
發:我要出去想想,我要一個人好好去想一想!(説着已緩緩走出房去)。
鳳望着發遠去的身影,臉上也現出愧疚和痛苦的表情。
鳳:(喃喃自語)順發哥!原諒我⋯⋯⋯
第卅一場
景:漁港碉頭
時:日
人:爹、根、牛、生、胡、江、孫、七、炮、匪衆數名、漁民數十名
漁港入口處一群漁民亂哄哄的圍着一塊佈告牌,牌上寫着漁港暫時封閉,漁民如非經特許和自出海捕魚十,一律嚴加處分。
圍觀的漁民們見牌憤怒喧嘩着。
根:放狗屁,這玩意是誰貼的?
生:縣城裏還管咱們打漁的事,這不是胡鬧嘛?
牛:(問爹)老爹!您看怎麽説?
爹:沒這個道理啊!我們進去看看。
爹領頭帶着衆漁民進入碼頭。
碼頭內胡坐在一個綁船繩的石墩上,孫、江二人站立身後,其餘匪衆則個個執槍,殺氣騰騰地監視着衆漁民。
衆漁民走至某一距離後卽站定不敢再前進。
爹:你們這什麼意思,不准我們打漁,大夥吃什麼?
衆:對對⋯⋯⋯
胡輕視地把玩着手槍。
胡:(冷笑)很簡單?不打漁就不要吃漁嘛!
衆人聞言立起騷動,根血氣方剛遂挺身而出。
根:開什麼玩笑!(向漁船走去)。
砰的一聲巨響,胡的槍口冒出一陣青煙。
根中彈倒地。
江神情一怔,驚望胡。
胡望着衆人冷笑。
胡:這像開玩笑嗎?
衆人大嘩,牛憤怒衝出。
牛:你們還有王法沒有,老子跟你們拼了!(衝向匪)
又是一聲槍響,牛也頹然倒地。
胡將手上的槍擧起愰了愰。
胡:槍子就是王法,有誰還想試試?
衆人被鎮嚇住,個個敢怒不敢言,生想衝動上前,却被爹一把拉住。
站在胡身後的江再也忍不往而憤然上前。
江:老大!你為什麽要這麼做?
胡猛囘頭一巴掌打在江臉上。
胡:我還要向你報告!?(大聲吼)滾囘去!
江捂着瞼,憤怒地看了胡一眼,遂低頭走向漁民。
衆漁民個個鄙視着走過身前的江,其中有人竟向其吐口水。
孫高聲向衆人吼着。
孫:你們還站在這兒幹什麼!?快回去!
衆人不甘願地緩緩向碼頭外散離。
第卅二場
景:周家大廳
時:日
人:發、財、母
發坐在廳中一杯接一杯地喝着悶酒,母在一旁勸着。
母:你就少喝點吧,會傷身子的。
發:娘!不要頰我!讓我一個人靜靜,(擧杯猛一口喝乾)。
母:這孩子!你到底是怎麼啦?(望着發繼續一杯杯的猛喝痛心萬分)唉!你看看你們一個病了,一個瘋了,叫娘怎麼安得了心呢⋯⋯⋯(哭泣)
發抓起酒壺正要再往杯裏倒時,却突然被人將壺按住,仔細一看,原來是被着衣衫病容滿面的財。
財:大哥!少喝點吧!
發猛然拍桌跳起。
發:(怒吼)你憑什麽管我——
財:(一怔)大哥!
發:(恕吼)不要叫我大哥!哼!你現在得意了吧?平日倒裝得一付老實相,其負你比誰都卑鄙——
財:不!你一定是誤會了,你聽我説⋯⋯⋯
發:我不要聽你説!有好聽的去跟鳳姑説去,我恨你!我恨你——
(踉蹌着奔出大廳)。
財:大哥!大哥!
母追至門邊,但未能及時攔阻發。
母:順發!順發!(氣得跺脚)又是鳳姑,又是鳳姑,真是太不像話了!(又喊着追出廳外)順發!順發!
財望着門外,表情十分痛苦。
第卅三場
景:江家大廳
時:日
人:胡、江、孫、村長、七、炮、小狗子、鄉紳甲、乙、丙、匪衆若干
村長和鄉紳們噤若寒蟬地看看胡來囘走着。
村:隊長!這筆數目,實在是太大了,一時我們恐怕湊不出來。
胡:(停身轉向村)錢並不多,才兩萬塊大洋而已,又不是我要的,是縣城裏催得緊嘛。
甲:那您看我們可不可以派人到縣城裏打通下關節?
胡:混蛋!你是跟我過不去是不是!?
乙:不,不,您別生氣,實在是這筆錢我們一時拿不出來⋯⋯⋯
胡:那就繼續封鎖漁港,等什麼時候把這兩件事都辦成了,咱們再説吧。
村:隊長!這錢的事,我們可以盡量想辦法,可是,您硬要娶鳳姑的這樁事,豈不是太覇道了嗎?
胡:霸道!(冷笑)我是爲了徵求她的同意,才叫你們去説親啊!
丙:可是!這村子裏所有人都知道,她是已經有了對象的。
胡:對象算什麼!?只要她沒嫁,你們就得替我辦成它!
躱在窗外偷聽的小狗子,急忙溜出家門。
第卅四場
景:周家外貌
時:日
人:財、狗、發
財提着捕蝦網具走出家門,狗正巧匆匆奔來。
狗:(喘急地)順財叔叔!不好了,不好了!
財:什麼事?小狗子!
狗:他⋯⋯他們要⋯⋯要搶走鳳姑姑。
財:(大驚)誰?他們是誰?
狗:就是我們家的壞人啦。
財:啊⋯⋯⋯
狗:順財叔叔!你快點嘛,快帶鳳姑姑逃走呀!
財:(心亂如麻)小狗子,你先囘去。
狗:不!我要你現在就去找鳳姑姑。
財:好!你囘家,我會去的。
狗:一定要去啊?
財:一定去?
狗見財答應,才放心奔向歸途。
財轉身欲將網具放囘家中,但想想却又住脚猶豫起來。
財:(喃喃自語)不!我不能去,我不能再讓大哥誤會我,可是⋯⋯(矛盾焦急地在門口來囘走着)
發喝得醉地從外囘來。
財見狀急忙上前攙扶。
財:大哥!
發:(揮手推開財)滾開!
財:大哥!鳳姑現在的處境很危險,你快帶她去避一避吧。
發:鳳姑?(悲笑)嘿嘿⋯⋯鳳姑是你的,為什麼你不帶他走,你們走得越遠越好,哈哈⋯⋯(瘋笑着踉蹌走入家門)
財:大哥⋯⋯(痛苦地低頭提着網具默默離去)
第卅五場
景:李家客廳
時:夜
人:鳳、爹、村長
砰的一聲,爹拍桌憤而站起,面對村長怒吼着。
爹:他做夢!
村:老爹!我看你就讓順發趕快帶着鳳姑走吧,不然他是不會死心的。
爹:哼!我就不信他們敢來搶?
村:唉!老爹!他們連人都敢殺,還不敢搶嗎?
爹:(固執地)要殺就叫他們來殺吧,要娶鳳姑,辦不到!
姑:(驚恐)爹!
爹:妳放心好了,你和順發的事,爹會替你做主。
姑:不!爹!不是順發!
爹:(一怔)咦?鳳姑!妳説什麼?
姑:我⋯⋯我説的是順財——(掉頭飛奔出門)
爹:(驚惑)啊⋯⋯鳳姑!鳳姑——
第卅六場
景:周家大廳内外
時:夜
人:發、鳳、母
周母將水盆裏的毛巾乾後,輕輕貼在醉酒躺着的順發額頭上。
母:唉!喝成這個樣子,真是作孽啊!
OS鳳姑:(聲音由遠漸近)順財哥!順財哥⋯⋯⋯
鳳姑急匆匆地奔至周家門外,見周母含怒從內走出,不由怯生生地停住腳步。
鳳:大嬸!我找順財哥!
母:(厭惡地)不在!
鳳:那他⋯⋯⋯
發從躺椅上掙扎着站起,搖搖晃晃地走至門邊,由門缝間向外窺視。
OS母:我跟妳説過不在了,我也不太歡迎妳來找他,妳聽懂我的意思吧?
鳳委屈低頭緩緩轉身走了幾步後,突然放脚狂奔而去。
躱在門後的發瞼上現出痛苦之色。
第卅七場
景:溪邊
時;夜
人:鳳、財、發
鳳獨自在河堤上奔跑着。
她一口氣奔至河堤的盡頭才停脚向溪下望去。
溪中一艘掛着蝦燈的小竹筏,財正蹲在筏上低頭網蝦。
鳳姑欣喜呼叫着奔下河堤。
鳳:順財哥——順財哥——
竹筏上的順財一怔,驚然抬頭向岸上望去。
鳳已奔至溪邊,但與竹筏間有一水之隔,故只得站在岸邊叫喊着。
鳳:順財哥——快划過來,我有話跟你説!
財方欲撑篙將筏子划向岸,但想想又猶豫不決。
財:鳳姑!我大哥這幾天老是喝酒,你快去勸勸他。
鳳:胡三寶已經派人到我家求親了,我來問問你的意思。
財:我?我那有什麼意思,妳該去問問大哥才是。
鳳:順財哥!我在問你啊!
財:不!>

